Solve this following

Question:

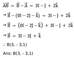
If $\overrightarrow{\mathrm{AB}}=(3 \hat{\mathrm{i}}-\hat{\mathrm{j}}+2 \hat{\mathrm{k}})$ and the coordinates of $A$ are $(0,-2,-1)$, find the coordinates of $\mathrm{B}$.

Solution:

Leave a comment