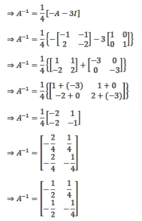
Question: If $A=\left[\begin{array}{cc}-1 & -1 \\ 2 & -2\end{array}\right]$, show that $A^{2}+3 A+4 I_{2}=0$ and hence find $A^{-1}$
Solution:



Ans. $\mathrm{A}^{-1}=\left[\begin{array}{cc}-\frac{1}{2} & \frac{1}{4} \\ -\frac{1}{2} & -\frac{1}{4}\end{array}\right]$