Question: Mark $(\sqrt{)}$ against the correct answer in each of the following:
A. $\log \left|(x-3)+\sqrt{x^{2}-6 x+8}\right|+C$
B. $\log \left|x+\sqrt{x^{2}-6 x+8}\right|+C$
C. $\log \left|(x-3)-\sqrt{x^{2}-6 x+8}\right|+C$
D. none of these
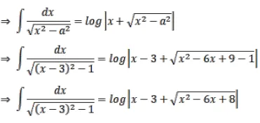
Solution:
