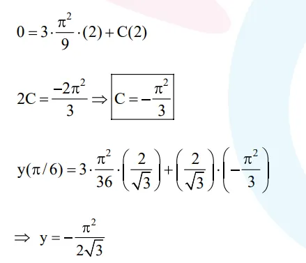
Question: If $\cos x \frac{d y}{d x}-y \sin x=6 x,\left(0
$\mathrm{y}\left(\frac{\pi}{3}\right)=0$, then $\mathrm{y}\left(\frac{\pi}{6}\right)$ is equal to :-
$-\frac{\pi^{2}}{4 \sqrt{3}}$
$-\frac{\pi^{2}}{2}$
$-\frac{\pi^{2}}{2 \sqrt{3}}$
$\frac{\pi^{2}}{2 \sqrt{3}}$
Correct Option: , 3
Solution:

