Question:
Mark $(\sqrt{ })$ against the correct answer in each of the following:
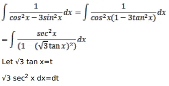
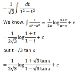
$\int \frac{d x}{\left(\cos ^{2} x-3 \sin ^{2} x\right)}=?$
A. $\frac{1}{\sqrt{3}} \log \left|\frac{\sqrt{3}+\tan x}{\sqrt{3}-\tan x}\right|+C$
B. $\frac{1}{\sqrt{3}} \log \left|\frac{1-\sqrt{3} \tan x}{1+\sqrt{3} \tan x}\right|+C$
C. $\frac{1}{2 \sqrt{3}} \log \left|\frac{1+\sqrt{3} \tan x}{1-\sqrt{3} \tan x}\right|+C$
D. none of these
Solution:

