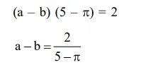
Question: If the function $f(x)=\left\{\begin{array}{l}a|\pi-x|+1, x \leq 5 \\ b|x-\pi|+3, x>5\end{array}\right.$ is
continuous at $x=5$, then the value of $a-b$ is :-
$\frac{2}{5-\pi}$
$\frac{2}{\pi-5}$
$\frac{2}{\pi+5}$
$\frac{-2}{\pi+5}$
Correct Option: 1
Solution:

