Question:
Mark $(\sqrt{ })$ against the correct answer in each of the following:
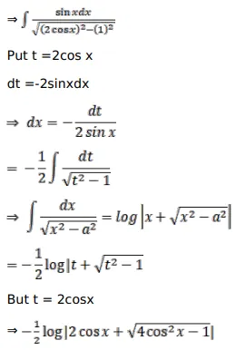
$\int \frac{\sin x}{\sqrt{4 \cos ^{2} x-1}}=?$
A. $-\frac{1}{2} \log \left|2 \cos x+\sqrt{4 \cos ^{2} x-1}\right|+C$
B. $-\frac{1}{3} \log \left|2 \cos x+\sqrt{4 \cos ^{2} x-1}\right|+C$
C. $-\frac{1}{6} \log \left|2 \cos x+\sqrt{2 \cos ^{2} x-1}\right|+C$
D. none of these
Solution:
