Solve this following
Question:
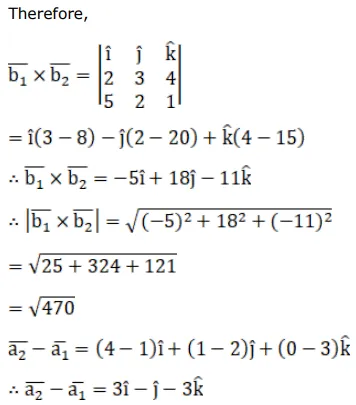
Show that the lines $\overrightarrow{\mathrm{r}}=(\hat{\mathrm{i}}+2 \hat{\mathrm{j}}+3 \hat{\mathrm{k}})+\lambda(2 \hat{\mathrm{i}}+3 \hat{\mathrm{j}}+4 \hat{\mathrm{k}})$ and $\overrightarrow{\mathrm{r}}=(4 \hat{\mathrm{i}}+\hat{\mathrm{j}})+\mu(5 \hat{\mathrm{i}}+2 \hat{\mathrm{j}}+\hat{\mathrm{k}})$ intersect.
Also, find their point of intersection.
Solution:








