Question:
Mark $(\sqrt{)}$ against the correct answer in each of the following:
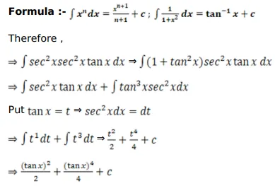
$\int \sec ^{4} x \tan x d x=?$
A. $\frac{1}{2} \sec ^{2} x+\frac{1}{4} \sec ^{4} x+C$
B. $\frac{1}{2} \tan ^{2} \mathrm{x}+\frac{1}{4} \tan ^{4} \mathrm{x}+\mathrm{C}$
C. $\frac{1}{2} \sec x+\log |\sec x+\tan x|+C$
D. none of these
Solution:
