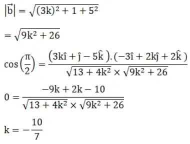
Question: If the lines $\frac{x-1}{-3}=\frac{y-2}{2 k}=\frac{z-3}{2}$ and $\frac{x-1}{3 k}=\frac{y-1}{1}=\frac{z-6}{-5}$ are perpendicular to each other then $\mathrm{k}=$ ?
A. $\frac{-5}{7}$
B. $\frac{5}{7}$
C. $\frac{10}{7}$
D. $\frac{-10}{7}$
Solution:

