Solve this following

Question:

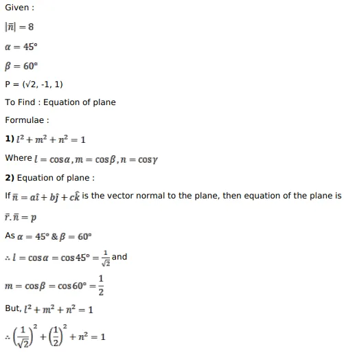
A vector $\bar{n}$ of magnitude 8 units is inclined to the $x$-axis at $45^{\circ}, y$-axis at $60^{\circ}$ and an acute angle with the $z$-axis, if a plane passes through a point $(\sqrt{2},-1,1)$ and is normal to find its equation in vector form.

Solution:

Leave a comment