Solve this following
Question:
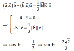
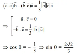
Let $\vec{a}, \vec{b}$ and $\vec{c}$ be three non-zero vectors such that no two of them are collinear and
$(\overrightarrow{\mathrm{a}}, \times \overrightarrow{\mathrm{b}}) \times \overrightarrow{\mathrm{c}}=\frac{1}{3}|\overrightarrow{\mathrm{b}}||\overrightarrow{\mathrm{c}}| \overrightarrow{\mathrm{a}}$. If $\theta$ is the angle between vectors $\overrightarrow{\mathrm{b}}$ and $\overrightarrow{\mathrm{c}}$, then a value of $\sin \theta$ is :
Correct Option: , 3
Solution:
