Solve this following
Question:
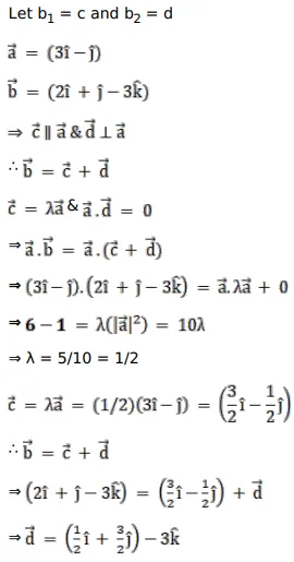
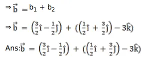
If $\overrightarrow{\mathrm{a}}=(3 \hat{\mathrm{i}}-\hat{\mathrm{j}})$ and $\overrightarrow{\mathrm{b}}=(2 \hat{\mathrm{i}}+\hat{\mathrm{j}}-3 \hat{\mathrm{k}})$ then express $\overrightarrow{\mathrm{b}}$ in the form $\overrightarrow{\mathrm{b}}=\left(\overrightarrow{\mathrm{b}}_{1}+\overrightarrow{\mathrm{b}}_{2}\right)$, where $\overrightarrow{\mathrm{b}}_{1} \| \overrightarrow{\mathrm{a}}^{\text {and }} \overrightarrow{\mathrm{b}}_{2} \perp \overrightarrow{\mathrm{a}}^{2}$
Solution:

