Question:
Mark $(\sqrt{ })$ against the correct answer in each of the following:
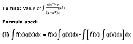
$\int \frac{\sin ^{-1} x}{\left(1-x^{2}\right)^{3 / 2}} d x=?$
A. $\frac{\sin ^{-1} x}{\sqrt{1-x^{2}}}-\frac{1}{2} \log \left|1-x^{2}\right|+C$
B. $x \sin ^{-1} x+\frac{1}{2} \log \left|1-x^{2}\right|+C$
C. $\frac{\sin ^{-1} x}{\sqrt{1-x^{2}}}+\frac{1}{2} \log \left|1-x^{2}\right|+C$
D. none of these
Solution:


