Solve this following

Question:

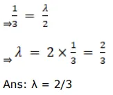
Find the value of $\lambda$ when the vectors $\vec{a}=(\hat{i}+\lambda \hat{j}+3 \hat{k})$ and $\overrightarrow{\mathrm{b}}=(3 \hat{\mathrm{i}}+2 \hat{\mathrm{j}}+9 \hat{\mathrm{k}})$ are parallel.

Solution:

Leave a comment