Solve this following
Question:
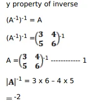
If $A$ is an invertible matrix and $A^{-1}=\left(\begin{array}{ll}3 & 4 \\ 5 & 6\end{array}\right)$ then $A=$ ?
A. $\left(\begin{array}{cc}6 & -4 \\ -5 & 3\end{array}\right)$
B. $\left(\begin{array}{cc}\frac{1}{3} & \frac{1}{4} \\ \frac{1}{5} & \frac{1}{6}\end{array}\right)$
c. $\left(\begin{array}{cc}-3 & 2 \\ \frac{5}{2} & \frac{-3}{2}\end{array}\right)$
D.None of these
Solution:

