Solve this following

Question:

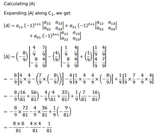
If $A=\frac{1}{9}\left[\begin{array}{ccc}-8 & 1 & 4 \\ 4 & 4 & 7 \\ 1 & -8 & 4\end{array}\right]$ show that $A^{-1}=A^{\prime}$.

Solution:

Leave a comment