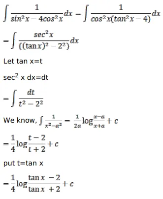
Question:
Mark $(\sqrt{ })$ against the correct answer in each of the following:
$\int \frac{d x}{\left(\sin ^{2} x-4 \cos ^{2} x\right)}=?$
A. $\frac{1}{4} \log \left|\frac{\tan x-2}{\tan x+2}\right|+C$
B. $\frac{1}{4} \log \left|\frac{\tan x+2}{\tan x-2}\right|+C$
C. $\frac{1}{4} \log \left|\frac{1-\tan x}{1+\tan x}\right|+C$
D. none of these
Solution:
