Solve this following

Question:

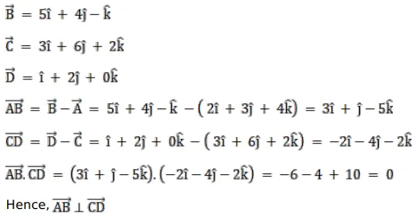
If $A(2,3,4), B(5,4,-1), C(3,6,2)$ and $D(1,2,0)$ be four points, show that $\overrightarrow{A B}$ is perpendicular to $\overrightarrow{C D}$.

Solution:

Leave a comment