Solve this following Question

Question:

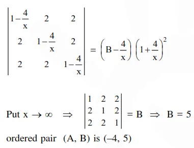
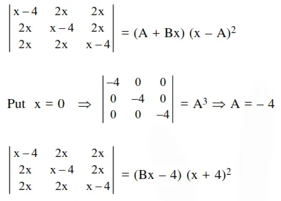
If $\left|\begin{array}{ccc}x-4 & 2 x & 2 x \\ 2 x & x-4 & 2 x \\ 2 x & 2 x & x-4\end{array}\right|=(A+B x)(x-A)^{2}$, then the ordered pair $(A, B)$ is equal to :

  1. $(-4,3)$

  2. $(-4,5)$

  3. $(4,5)$

  4. $(-4,-5)$


Correct Option: , 2

Solution:

Leave a comment