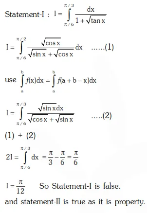
Question: Statement-I : The value of the integral $\int_{\pi / 6}^{\pi / 3} \frac{\mathrm{dx}}{1+\sqrt{\tan x}}$ is equal to $\frac{\pi}{6}$.
Statement-II : $\int_{a}^{b} f(x) d x=\int_{a}^{b} f(a+b-x) d x$.
Statement-I is true, Statement-II is true; Statement-II is a correct explanation for Statement-I.
Statement-I is true, Statement-II is true; Statement-II is not a correct explanation for Statement-I.
Statement-I is true, Statement-II is false.
Statement-I is false, Statement-II is true.
Correct Option: 4,
Solution:
