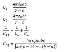
Suppose the space between the two inner shells of the previous problem
Download now India's Best Exam Prepration App
Class 8-9-10, JEE & NEET
Video Lectures
Live Sessions
Study Material
Tests
Previous Year Paper
Revision
Question:
Suppose the space between the two inner shells of the previous problem is filled with a dielectric of dielectric constant K. Find the capacitance of the system between $A$ and $B$.