The angle between two lines having direction ratios
Question:
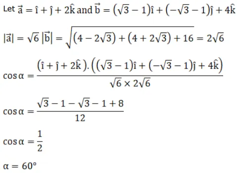
The angle between two lines having direction ratios $1,1,2$ and $(\sqrt{3}-1),(-\sqrt{3}-1), 4$ is
A. $\frac{\pi}{6}$
B. [] $\frac{\pi}{2}$
C. $\frac{\pi}{3}$
D. $\frac{\pi}{4}$
Solution:
