The average molar mass of chlorine is
Question:
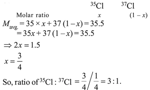
The average molar mass of chlorine is $35.5 \mathrm{~g} \mathrm{~mol}^{-1}$. The ratio of ${ }^{35} \mathrm{Cl}$ to ${ }^{37} \mathrm{Cl}$ in naturally occrring chlorine is close to :
Correct Option: , 2
Solution:
