The circle

Question:

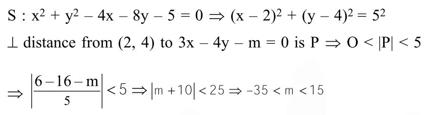
The circle $x^{2}+y^{2}=4 x+8 y+5$ intersects the line $3 x-4 y=m$ at two distinct points if :-

  1. $-85

  2. $-35

  3. $15

  4. $35<\mathrm{m}<85$


Correct Option: , 2

Solution:

Leave a comment