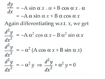
The differential equation for y = A cos αx + B sin αx,
Question:
The differential equation for y = A cos αx + B sin αx, where A and B are arbitrary constants is
(A) $\frac{d^{2} y}{d x^{2}}-\alpha^{2} y=0$
(B) $\frac{d^{2} y}{d x^{2}}+\alpha^{2} y=0$
(C) $\frac{d^{2} y}{d x^{2}}+\alpha y=0$
(D) $\frac{d^{2} y}{d x^{2}}-\alpha y=0$
Solution:
Correct option is (B).
Given equation is y = A cos ax + B sin ax
Differentiating both sides w.r.t. x, we have
