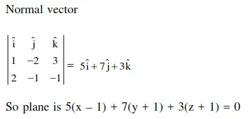
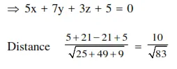
Question:
The distantce of the point $(1,3,-7)$ from the plane passing through the point $(1,-1,-1)$, having
normal perpendicular to both the lines $\frac{x-1}{1}=\frac{y+2}{-2}=\frac{z-4}{3}$ and $\frac{x-2}{2}=\frac{y+1}{-1}=\frac{z+7}{-1}$, is :-
Correct Option: 1
Solution:

