The fundamental frequency of a closed pipe

Question:

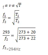
The fundamental frequency of a closed pipe is $293 \mathrm{~Hz}$ when the air in it is a temperature of $20^{\circ} \mathrm{C}$. What will be its fundamental frequency when the temperature changes to $22^{\circ} \mathrm{C}$ ?

Solution:

Leave a comment