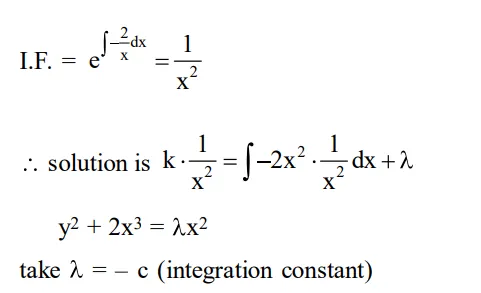
Question: The general solution of the differential equation $\left(y^{2}-x^{3}\right) d x-x y d y=0(x \neq 0)$ is :
(where $\mathrm{c}$ is a constant of integration)
$y^{2}+2 x^{3}+c x^{2}=0$
$\mathrm{y}^{2}+2 \mathrm{x}^{2}+\mathrm{cx} 3=0$
$y^{2}-2 x^{3}+c x^{2}=0$
$\mathrm{y}^{2}-2 \mathrm{x}^{2}+c \mathrm{x}^{3}=0$
Correct Option: 1
Solution:

