The ground state energy of hydrogen atom is

Question:

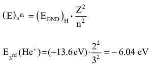
The ground state energy of hydrogen atom is $-13.6 \mathrm{eV}$. The energy of second excited state $\mathrm{He}^{+}$ion in $\mathrm{eV}$ is :

  1. $-6.04$

  2. $-27.2$

  3. $-54.4$

  4. $-3.4$


Correct Option: 1

Solution:

Leave a comment