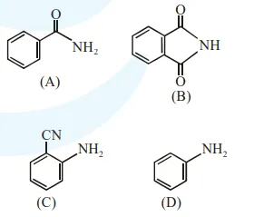
Question: The increasing order of reactivity of the following compounds towards reaction with alkyl halides directly is :

$(B)<(A)<(D)<(C)$
$(B)<(A)<(C)<(D)$
$(\mathrm{A})<(\mathrm{C})<(\mathrm{D})<(\mathrm{B})$
$(\mathrm{A})<(\mathrm{B})<(\mathrm{C})<(\mathrm{D})$
Correct Option: , 2
Solution:
Nucleophilicity order
