The inner and outer radii of a hollow cylinder are 15 cm and 20 cm,
Question:
The inner and outer radii of a hollow cylinder are 15 cm and 20 cm, respectively. The cylinder is melted and recast into a solid cylinder of the same height. Find the radius of the base of new cylinder.
Solution:
Inner radius of hollow cylinder r1 = 15 cm
Outer radius of hollow cylinder r2 = 20 cm
The volume of hollow cylinder $=\pi\left(r_{2}^{2}-r_{1}^{2}\right) h$
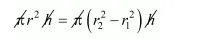
Since,
The hollow cylinder is melted and recast into a solid cylinder of same height.
Let r be the radius of solid cylinder.
Therefore,
The volume of solid cylinder = volume of hollow cylinder.

$r^{2}=\left(20^{2}-15^{2}\right)$
$r^{2}=35 \times 5$
$r=13.2 \mathrm{~cm}$
Hence, the radius of solid cylinder is $13.2 \mathrm{~cm}$.