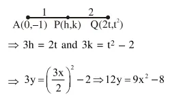
Question: The locus of a point which divides the line segment joining the point $(0,-1)$ and a point on the parabola, $\mathrm{x}^{2}=4 \mathrm{y}$, internally in the ratio $1: 2$, is-
$9 x^{2}-3 y=2$
$9 x^{2}-12 y=8$
$x^{2}-3 y=2$
$4 x^{2}-3 y=2$
Correct Option: , 2
Solution:
