The major products

Question:

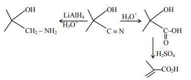
The major products $A$ and $B$ in the following set of reactions are:


Correct Option: , 3

Solution:

Leave a comment