Question:
The plane ax + by = 0 is rotated about its line of intersection with the plane z = 0 through an angle α. Prove that the equation of the plane in its new position is
$a x+b y \pm\left(\sqrt{a^{2}+b^{2}} \tan \alpha\right) z=0$
Solution:
Given planes are: ax + by = 0 …. (i) and z = 0 …. (ii)
Now, the equation of any plan passing through the line of intersection of plane (i) and (ii) is
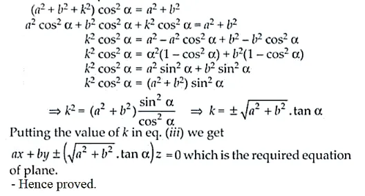
(ax + by) + kz = 0 ⇒ ax + by + kz = 0 …. (iii)

