Question:
The set of all values of $\lambda$ for which the system of linear equations:
$2 x_{1}-2 x_{2}+x_{3}=\lambda x_{1}$
$2 x_{1}-3 x_{2}+2 x_{3}=\lambda x_{2}$
$-\mathrm{x}_{1}+2 \mathrm{x}_{2}=\lambda \mathrm{x}_{3}$
has a non-trivial solution
Correct Option: 1
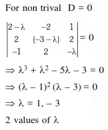
Solution:
