The shortest distance between line

Question:

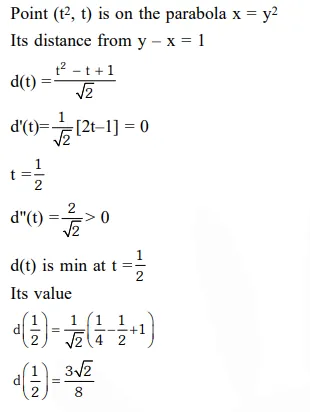
The shortest distance between line $\mathrm{y}-\mathrm{x}=1$ and curve $\mathrm{x}=\mathrm{y}^{2}$ is :-

  1. $\frac{8}{3 \sqrt{2}}$

  2. $\frac{4}{\sqrt{3}}$

  3. $\frac{\sqrt{3}}{4}$

  4. $\frac{3 \sqrt{2}}{8}$


Correct Option: , 4

Solution:

Leave a comment