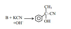
The structure of product

Question:

The structure of product $C$, formed by the following sequence of reactions is :


Correct Option: 1

Solution:

Leave a comment