The sum of the solutions of the equation

Question:

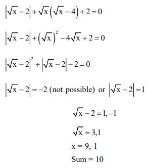
The sum of the solutions of the equation $|\sqrt{x}-2|+\sqrt{x}(\sqrt{x}-4)+2=0,(x>0)$ is equal to :

  1. 4

  2. 9

  3. 10

  4. 12


Correct Option: , 3

Solution:

Leave a comment