Question:
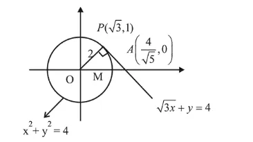
The tangent and the normal lines at the point $(\sqrt{3}, 1)$ to the circle $x^{2}+y^{2}=4$ and the $x$-axis form a triangle. The area of this triangle (in square units) is :
Correct Option: , 3
Solution:
Equation of tangent to circle at point $(\sqrt{3}, 1)$ is
$\sqrt{3} x+y=4$

$\therefore$ coordinates of the point $\quad\left(\frac{}{\sqrt{ }}, 0\right)$
Area $=\frac{1}{2} \times O A \times P M=\frac{1}{2} \times \frac{4}{\sqrt{3}} \times 1=\frac{2}{\sqrt{3}}$ sq. units