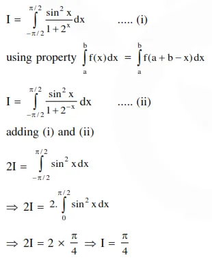
The value of

Question:

The value of $\int_{-\frac{\pi}{2}}^{\frac{\pi}{2}} \frac{\sin ^{2} x}{1+2^{x}} d x$ is :

  1. $\frac{\pi}{2}$

  2. $4 \pi$

  3. $\frac{\pi}{4}$

  4. $\frac{\pi}{8}$


Correct Option: , 3

Solution:

Leave a comment