The value of $f(0)$, so that the function
$f(x)=\frac{(27-2 x)^{1 / 3}-3}{9-3(243+5 x)^{1 / 5}}(x \neq 0)$ is continuous, is given by
(a) $\frac{2}{3}$
(b) 6
(c) 2
(d) 4
(c) 2
For f(x) to be continuous at x = 0, we must have
$\lim _{x \rightarrow 0} f(x)=f(0)$
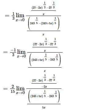
$\Rightarrow f(0)=\lim _{x \rightarrow 0} f(x)=\lim _{x \rightarrow 0} \frac{(27-2 x)^{\frac{1}{3}-3}}{9-3(243+5 x)^{\frac{1}{5}}}$
$\Rightarrow f(0)=\lim _{x \rightarrow 0} \frac{(27-2 x)^{\frac{1}{3}}-27^{\frac{1}{3}}}{3\left(243^{\frac{1}{5}}-(243+5 x)^{\frac{1}{5}}\right)}$


$=\frac{2}{15} \times \frac{\frac{1}{3} \times 27 \frac{\frac{-2}{3}}{\frac{1}{5} \times 243^{\frac{-4}{5}}}}{\frac{1}{5}}$
$=\frac{2}{15} \times \frac{\frac{1}{3} \times \frac{1}{27^{\frac{2}{3}}}}{\frac{1}{5} \times \frac{1}{243^{\frac{4}{5}}}}$
$=2$