The zeroes of the quadratic polynomial x2 + kx + k
The zeroes of the quadratic polynomial x2 + kx + k where k ≠ 0,
(a) cannot both be positive
(b) cannot both be negative
(c) are always unequal
(d) are always equal
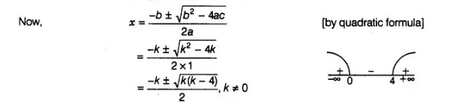
(a)Let p(x) = x2 + kx + k, k≠0
On comparing p(x) with ax2 + bx + c, we get
$a=1, b=k$ and $c=k$

Here, we see that
k(k − 4)> 0
⇒ k ∈ (-∞, 0) u (4, ∞)
Now, we know that
In quadratic polynomial ax2 + bx + c
If a > 0, b> 0, c> 0 or a< 0, b< 0,c< 0,
then the polynomial has always all negative zeroes.
and if a > 0, c < 0 or a < 0, c > 0, then the polynomial has always zeroes of opposite sign
Case I If k∈ (-∞, 0) i.e., k<0
⇒ a = 1>0, b,c = k<0
So, both zeroes are of opposite sign.
Case II If k∈ (4, ∞)i.e., k≥4
=> a = 1> 0, b,c>4
So, both zeroes are negative.
Hence, in any case zeroes of the given quadratic polynomial cannot both be positive.