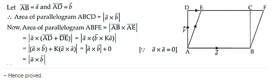
Question:
Using vectors, prove that the parallelogram on the same base and between the same parallels are equal in area.
Solution:
Let’s consider ABCD and ABFE be two parallelograms on the same base AB and between same parallel lines AB and DF.
