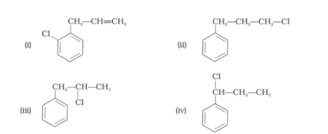
Question:
What is ‘A’ in the following reaction?


Solution:
Option (iii) is the answer.
In the above reaction, the addition of HCl across the double bond takes place as per the Markovnikov rule. According to Markovnikov rule, the negative part of the adding molecule gets attached to that carbon atom which possesses a lesser number of hydrogen atoms.
