Vectors Physics Class 11 - IIT JEE | NEET
Vectors is the foundation of Class 11 Physics for JEE & NEET, covering vector addition, components, dot & cross products, and their applications in mechanics, work, torque, motion, and electromagnetism.
Table of Contents
- Why Vectors Is the Most Foundational Chapter in Class 11 Physics
- Download Vectors Physics Class 11 Notes
- Scalars vs Vectors: Definition and Examples
- Types of Vectors
- Addition and Subtraction of Vectors
- Resolution of Vectors and Unit Vectors
- Dot Product (Scalar Product)
- Cross Product (Vector Product)
- Key Formulas
eSaral › Class 11›Vectors Physics Class 11 - IIT JEE | NEET

Why Vectors Is the Most Foundational Chapter in Class 11 Physics
| Vector Concept | Where It Reappears |
|---|---|
| Vector addition (Triangle/Parallelogram Law) | Equilibrium of forces, Laws of Motion |
| Resolution into components | Projectile motion, inclined plane problems |
| Dot product | Work done by a force (W = F·d), Power |
| Cross product | Torque (τ = r × F), Angular momentum (L = r × p) |
| Unit vectors (î, ĵ, k̂) | Every 3D Physics problem in Electromagnetism |
| Relative velocity (vector subtraction) | Relative motion, riverboat problems |
💡 Expert Tip by eSaral Academic Team, IIT Bombay Faculty: "If you spend 3 extra days on Vectors now, you save 2 hours of confusion in every subsequent chapter. JEE Main regularly tests vector operations in disguised forms — a torque question, a magnetic force question, or a work-energy question. The students who struggle with these aren't weak in those chapters; they're weak in Vectors."
Download Vectors Physics Class 11 Notes

Score 700+ in NEET 2025 – Course for Droppers at ₹2200, Limited Time Offer!

India's Best Exam Preparation for Class 11th - Download Now

Score 700+ in NEET 2025 – Course for Droppers at ₹2200, Limited Time Offer!

Scalars vs Vectors: Definition and Examples
Scalar Quantity
A scalar has only magnitude — no direction.
Examples: Mass, temperature, time, speed, distance, energy, pressure, work, power
Vector Quantity
A vector has both magnitude and direction.
Examples: Displacement, velocity, acceleration, force, momentum, torque, electric field, magnetic field
Key Distinction
Distance is scalar; displacement is vector. Speed is scalar; velocity is vector.
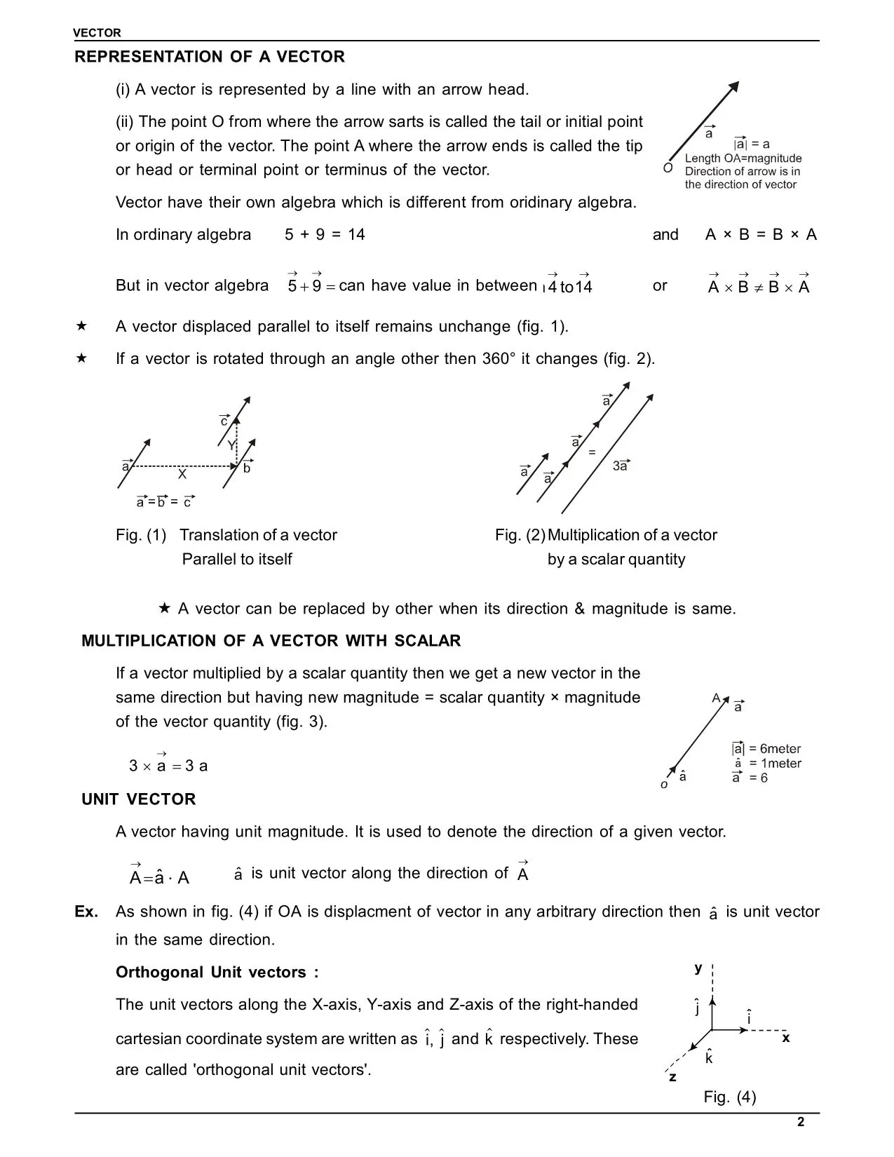
A vector is represented as A (bold) or →A (with arrow). Its magnitude is written as |A| or simply A.
Types of Vectors
| Type | Definition | Example |
|---|---|---|
| Zero vector (null vector) | Magnitude = 0, direction undefined | 0 |
| Unit vector | Magnitude = 1, indicates direction only | Â = A/|A| |
| Equal vectors | Same magnitude AND same direction | A = B |
| Negative vector | Same magnitude, opposite direction | −A |
| Parallel vectors | Same or opposite direction, any magnitude | A ∥ B |
| Coplanar vectors | All lying in the same plane | Three vectors in xy-plane |
| Position vector | Vector from origin to point P | r = xî + yĵ + zk̂ |
Standard unit vectors in 3D:
- î — unit vector along x-axis
- ĵ — unit vector along y-axis
- k̂ — unit vector along z-axis
Addition and Subtraction of Vectors
Triangle Law of Vector Addition
If two vectors A and B are represented by two sides of a triangle taken in order, the third side (closing side, taken in reverse order) represents their resultant R.
R = A + B
Parallelogram Law of Vector Addition
If two vectors A and B are represented by two adjacent sides of a parallelogram, the diagonal of the parallelogram represents their resultant.
Magnitude of resultant:
R = √(A² + B² + 2AB cos θ)
where θ is the angle between A and B.
Direction of resultant (angle α with A):
tan α = B sin θ / (A + B cos θ)
Special Cases
| Angle (θ) | Resultant Magnitude |
|---|---|
| 0° (parallel, same direction) | R = A + B (maximum) |
| 180° (antiparallel, opposite) | R = |A − B| (minimum) |
| 90° (perpendicular) | R = √(A² + B²) |
| 60° | R = √(A² + B² + AB) |
| 120° | R = √(A² + B² − AB) |
Vector Subtraction
A − B = A + (−B)
Subtraction is adding the negative of the second vector. The magnitude of A − B when the angle between A and B is θ:
|A − B| = √(A² + B² − 2AB cos θ)
💡 Expert Tip by eSaral Academic Team, IIT Bombay Faculty: "The Parallelogram Law formula R = √(A² + B² + 2AB cosθ) is tested directly in JEE Main and NEET as a standalone calculation. Memorise the three special cases (0°, 90°, 180°) and you can eliminate wrong options instantly without full calculation in MCQs."
Resolution of Vectors and Unit Vectors
Resolving a Vector into Components
Any vector A in a plane can be resolved into two perpendicular components:
Aₓ = A cos θ (horizontal component) Aᵧ = A sin θ (vertical component)
Where θ is the angle the vector makes with the x-axis (horizontal).
The original vector can be reconstructed:
A = √(Aₓ² + Aᵧ²)
θ = tan⁻¹(Aᵧ/Aₓ)
In Three Dimensions
A = Aₓî + Aᵧĵ + A_z k̂
Magnitude: |A| = √(Aₓ² + Aᵧ² + A_z²)
Unit Vector Formula
 = A / |A| = (Aₓî + Aᵧĵ + A_z k̂) / √(Aₓ² + Aᵧ² + A_z²)
A unit vector has magnitude exactly 1 and points in the same direction as the original vector.
Adding Vectors Using Components
To add A + B:
- Resolve both into components: A = Aₓî + Aᵧĵ and B = Bₓî + Bᵧĵ
- Add components: R = (Aₓ + Bₓ)î + (Aᵧ + Bᵧ)ĵ
- Find magnitude and direction of R
This component method works for any number of vectors and any directions — it is the most reliable method for JEE and NEET vector problems.
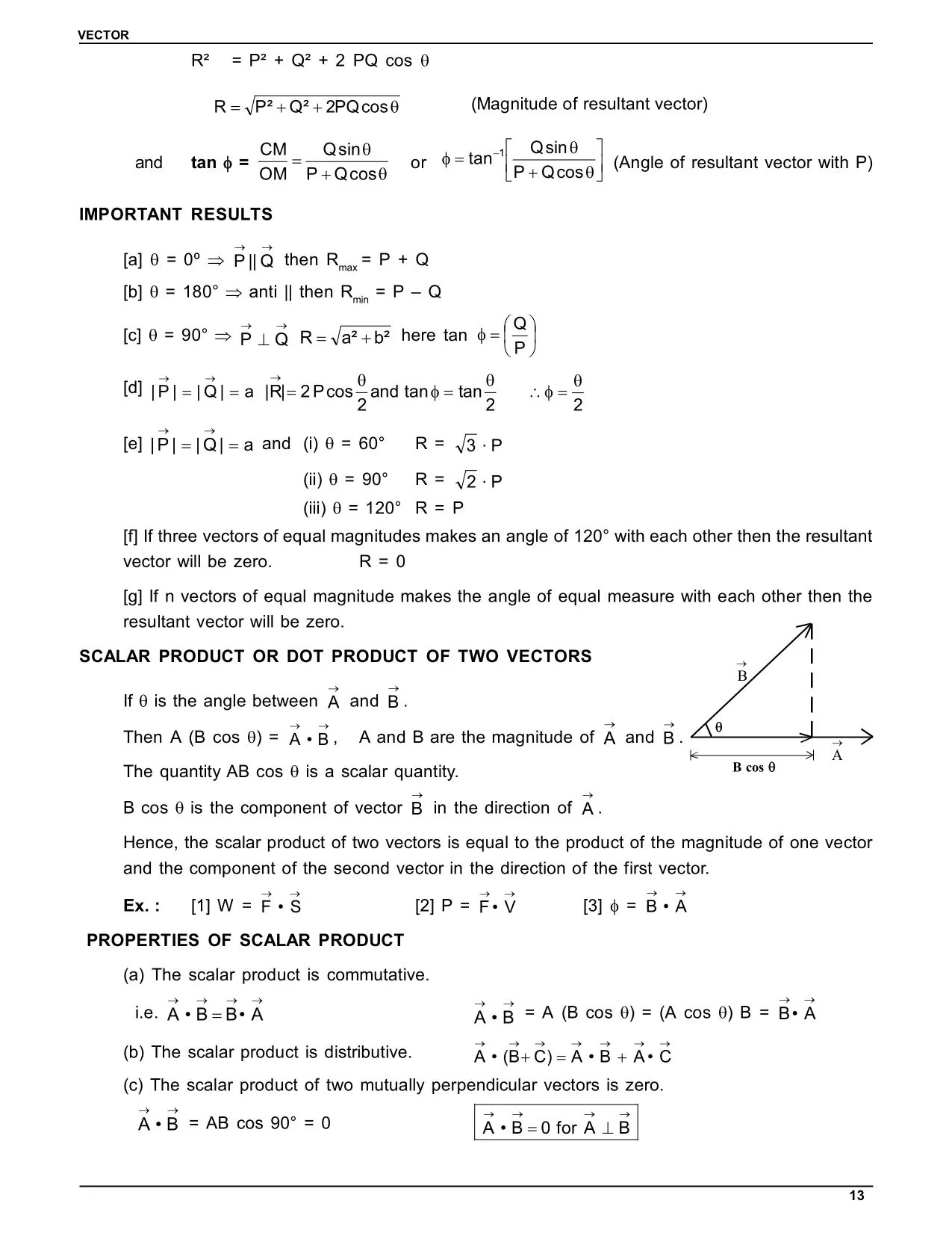
Dot Product (Scalar Product)
The dot product of two vectors gives a scalar (number) result.
Definition
A · B = |A| |B| cos θ = AB cos θ
where θ is the angle between A and B.
In Component Form
A · B = AₓBₓ + AᵧBᵧ + A_zB_z
Key Properties of Dot Product
| Property | Result |
|---|---|
| A · A | A² (magnitude squared) |
| A · B = 0 (when θ = 90°) | Vectors are perpendicular |
| î · î = ĵ · ĵ = k̂ · k̂ | 1 |
| î · ĵ = ĵ · k̂ = k̂ · î | 0 |
| Commutative | A · B = B · A |
Physics Applications of Dot Product
- Work done: W = F · d = Fd cos θ
- Power: P = F · v = Fv cos θ
- Angle between two vectors: cos θ = (A · B) / (AB)
Cross Product (Vector Product)
The cross product of two vectors gives a vector result, perpendicular to both original vectors.
Definition
A × B = |A| |B| sin θ n̂ = AB sin θ n̂
where θ is the angle between A and B, and n̂ is a unit vector perpendicular to both A and B (determined by the right-hand rule).
In Component Form
A × B = |î ĵ k̂| |Aₓ Aᵧ A_z| |Bₓ Bᵧ B_z|
= î(AᵧB_z − A_zBᵧ) − ĵ(AₓB_z − A_zBₓ) + k̂(AₓBᵧ − AᵧBₓ)
Key Properties of Cross Product
| Property | Result |
|---|---|
| A × A | 0 (zero vector) |
| A × B = 0 (when θ = 0° or 180°) | Vectors are parallel |
| î × î = ĵ × ĵ = k̂ × k̂ | 0 |
| î × ĵ = k̂ | (and cyclic) |
| ĵ × î = −k̂ | (anti-commutative) |
| |A × B| | = AB sin θ (area of parallelogram) |
| Anti-commutative | A × B = −B × A |
Physics Applications of Cross Product
- Torque: τ = r × F (magnitude = rF sin θ)
- Angular momentum: L = r × p
- Magnetic force: F = q(v × B)
- Area of parallelogram: = |A × B|
Key Formulas
| Formula | Description |
|---|---|
| R = √(A² + B² + 2AB cos θ) | Magnitude of resultant (Parallelogram Law) |
| tan α = B sin θ / (A + B cos θ) | Direction of resultant with A |
| Aₓ = A cos θ, Aᵧ = A sin θ | Component resolution |
| |A| = √(Aₓ² + Aᵧ² + A_z²) | Magnitude from components |
| Â = A / |A| | Unit vector formula |
| A · B = AB cos θ | Dot product (scalar) |
| A · B = AₓBₓ + AᵧBᵧ + A_zB_z | Dot product (component form) |
| |A × B| = AB sin θ | Cross product magnitude |
| W = F · d = Fd cos θ | Work done using dot product |
| τ = r × F | Torque using cross product |
For complete Class 11 Physics notes, including all chapters — Motion, Laws of Motion, Work-Energy, Gravitation and more — download the eSaral App for free video lectures by Kota's top IITian faculty.
NEET droppers preparing for NEET 2025 can also check out eSaral's NEET Warrior course — India's most affordable structured NEET preparation programme for droppers.
Frequently Asked Questions
Find answers to common questions.
What is a vector in Physics Class 11?
A vector in Physics is a quantity that has both magnitude and direction. Examples include displacement, velocity, acceleration, force, momentum, and electric field. Vectors are represented with an arrow over the symbol (→A) or in bold (A). The magnitude of a vector is always a positive scalar. Scalars like mass, temperature, and speed have only magnitude and no direction.
What is the difference between dot product and cross product in Class 11 Physics?
The dot product (A · B = AB cos θ) gives a scalar result — it is used for quantities like work (W = F · d) and power. The cross product (A × B = AB sin θ n̂) gives a vector result perpendicular to both original vectors — it is used for torque (τ = r × F) and magnetic force (F = qv × B). Dot product is maximum when vectors are parallel; cross product is maximum when vectors are perpendicular.
How many marks does Vectors carry in JEE Main?
Vectors does not appear as a standalone chapter in JEE Main — vector operations are embedded throughout Mechanics, Electromagnetism, and Modern Physics questions. However, direct vector questions (finding resultant magnitude, angle between vectors, dot/cross product calculations) appear in 2–3 questions per JEE Main session. More importantly, all Physics chapters from Laws of Motion onwards require vector competency.
What is the Triangle Law of Vector Addition?
The Triangle Law of Vector Addition states that if two vectors are represented by two sides of a triangle taken in order, the resultant is represented by the third side taken in the reverse order. The resultant R = A + B. For magnitude: R = √(A² + B² + 2AB cos θ), where θ is the angle between the two vectors. This is equivalent to the Parallelogram Law.
What are the standard unit vectors in Class 11 Physics?
The three standard unit vectors are î (x-axis), ĵ (y-axis), and k̂ (z-axis). Each has magnitude 1. Any vector in 3D space can be written as A = Aₓî + Aᵧĵ + A_zk̂. Key relations: î × ĵ = k̂, ĵ × k̂ = î, k̂ × î = ĵ (cyclic), and î · ĵ = ĵ · k̂ = k̂ · î = 0 (all perpendicular pairs have zero dot product).