Differentiability - JEE Advanced Previous Year Questions with Solutions
JEE Advanced Previous Year Questions of Math with Solutions are available at eSaral. Practicing JEE Advanced Previous Year Papers Questions of mathematics will help the JEE aspirants in realizing the question pattern as well as help in analyzing weak & strong areas.
eSaral helps the students in clearing and understanding each topic in a better way. eSaral also provides complete chapter-wise notes of Class 11th and 12th both for all subjects.
Besides this, eSaral also offers NCERT Solutions, Previous year questions for JEE Main and Advance, Practice questions, Test Series for JEE Main, JEE Advanced and NEET, Important questions of Physics, Chemistry, Math, and Biology and many more.
Download eSaral app for free study material and video tutorials.
Q. Let $f: R \rightarrow R$ be a function such that $f(x+y)=f(x)+f(y), \forall x, y \in R .$ If $f(x)$ is differentiable at $x=0,$ then
(A) $f(x)$ is differentiable only in a finite interval containing zero
(B) $f(x)$ is continuous $\forall x \in R$
(C) $f^{\prime}(x)$ is constant $\forall x \in R$
(D) $f(x)$ is differentiable except at finitely many points
[JEE 2011, 4M]
Ans. (B,C)
$\mathrm{F}(\mathrm{x}+\mathrm{y})=\mathrm{F}(\mathrm{x})+\mathrm{F}(\mathrm{y})$ diff. both side
$\mathrm{F}^{\prime}(\mathrm{x}+\mathrm{y})=\mathrm{F}^{\prime}(\mathrm{x})$
Put $\mathrm{x}=0, \mathrm{y}=\mathrm{x}$
$\Rightarrow \mathrm{F}^{\prime}(\mathrm{x})=\mathrm{F}^{\prime}(0)$ than
$\Rightarrow \mathrm{F}(\mathrm{x})$ is linear functon.
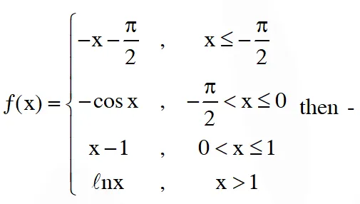
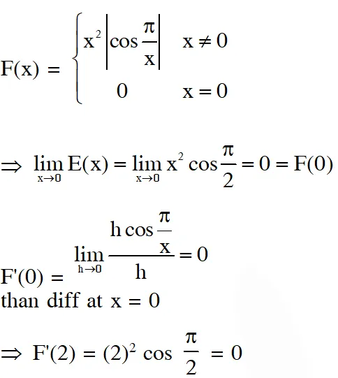
Q. Let $f(\mathrm{x})=$ $\left\{\begin{array}{cc}{\mathrm{x}^{2}\left|\cos \frac{\pi}{\mathrm{x}}\right|} & {\mathrm{x} \neq 0} \\ {0} & {, \quad \mathrm{x}=0}\end{array}, \mathrm{x} \in \mathbb{R}, \text { then } f \text { is }-\right.$
(A) differentiable both at x = 0 and at x = 2
(B) differentiable at x = 0 but not differentiable at x = 2
(C) not differentiable at x = 0 but differentiable at x = 2
(D) differentiable neither at x = 0 nor at x = 2
[JEE 2012, 3M, –1M]
Ans. (B)
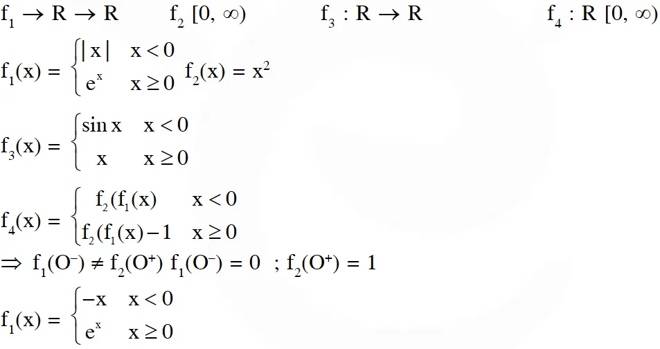
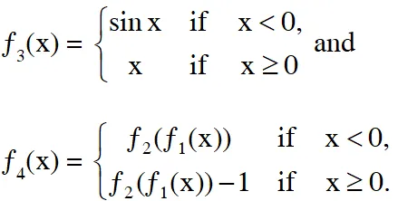
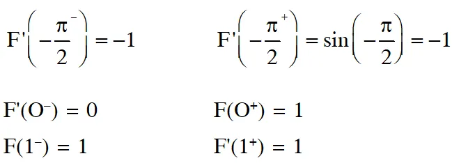
Q. Let $f_{1}: \square \rightarrow \square, f_{2}:[0, \infty) \rightarrow \square, f_{3}: \square \rightarrow \square$ and $f_{4}: \square \rightarrow[0, \infty)$ be defined by
$f_{1}(x)=\left\{\begin{array}{ll}{|x|} & {\text { if } \quad x<0,} \\ {e^{x}} & {\text { if } \quad x \geq 0}\end{array} f_{2}(x)=x^{2}\right.$
[JEE(Advanced)-2014, 3(–1)]
[JEE(Advanced)-2014, 3(–1)]
Ans. (D)
Q. Let $f: \square \rightarrow \square$ and $\mathrm{g}: \square \rightarrow \square$ be respectively given by $f(\mathrm{x})=|\mathrm{x}|+1$ and $\mathrm{g}(\mathrm{x})=\mathrm{x}^{2}+1$ Define $\mathrm{h}: \square \rightarrow \square$
by $\quad \mathrm{h}(\mathrm{x})=\left\{\begin{array}{ll}{\max \{f(\mathrm{x}), \mathrm{g}(\mathrm{x})\}} & {\text { if } \quad \mathrm{x} \leq 0} \\ {\min \{f(\mathrm{x}), \mathrm{g}(\mathrm{x})\}} & {\text { if } \quad \mathrm{x}>0}\end{array}\right.$
The number of points at which h(x) is not differentiable is
[JEE(Advanced)-2014, 3]
Ans. 3
Q. Let $a, b \in \square$ and $f: \square \rightarrow \square$ be defined by $f(x)=\operatorname{acos}\left(\left|x^{3}-x\right|\right)+b|x| \sin \left(\left|x^{3}+x\right|\right)$ Then $f$ is $-$
(A) differentiable at x = 0 if a = 0 and b = 1
(B) differentiable at x = 1 if a = 1 and b = 0
(C) NOT differentiable at x = 0 if a = 1 and b = 0
(D) NOT differentiable at x = 1 if a = 1 and b = 1
[JEE(Advanced)-2016]
Ans. (A,B)
Q. Let $f:\left[-\frac{1}{2}, 2\right] \rightarrow \square$ and $\mathrm{g}:\left[-\frac{1}{2}, 2\right] \rightarrow \square$ be function defined by $f(\mathrm{x})=\left[\mathrm{x}^{2}-3\right]$ and $g(x)=|x| f(x)+|4 x-7| f(x),$ where [y] denotes the greatest integer less than or equal to y for $\mathrm{y} \in \square .$ Then
(A) $f$ is discontinuous exactly at three points in $\left[-\frac{1}{2}, 2\right]$
(B) $f$ is discontinuous exactly at four points in $\left[-\frac{1}{2}, 2\right]$
(C) $\mathrm{g}$ is NOT differentiable exactly at four points in $\left(-\frac{1}{2}, 2\right)$
(D) $\mathrm{g}$ is NOT differentiable exactly at five points in $\left(-\frac{1}{2}, 2\right)$
[JEE(Advanced)-2016]
Ans. (B,C)
$f(x)=\left[x^{2}\right]-3$
$g(x)=(|x|+|4 x-7|)\left(\left[x^{2}\right]-3\right)$
$\because f$ is discontinuous at $\mathrm{x}=1, \sqrt{2}, \sqrt{3}, 2$ in $\left[-\frac{1}{2}, 2\right]$
and $|\mathrm{x}|+|4 \mathrm{x}-7| \neq 0$ at $\mathrm{x}=1, \sqrt{2}, \sqrt{3}, 2$
$\Rightarrow \mathrm{g}(\mathrm{x})$ is discontinuous at $\mathrm{x}=1, \sqrt{2}, \sqrt{3}$ in $\left(-\frac{1}{2}, 2\right)$
$\operatorname{In}(0-\delta, 0+\delta)$
$\mathrm{g}(\mathrm{x})=(|\mathrm{x}|+|4 \mathrm{x}-7|) \cdot(-3)$
$\Rightarrow \mathrm{g}^{\prime}$ is non derivable at $\mathrm{x}=0$
$\operatorname{In}\left(\frac{7}{4}-\delta, \frac{7}{4}+\delta\right)$
$g(x)=0$ as $f(x)=0$
$\Rightarrow$ Derivable at $x=\frac{7}{4}$
$\therefore \mathrm{g}^{\prime}$ is non-derivable at $0,1, \sqrt{2}, \frac{7}{4}$
Q. Let $f: \square \rightarrow \square$ be a differentiable function with $f(0)=1$ and satisfying the equation $f(\mathrm{x}+\mathrm{y})=f(\mathrm{x}) f^{\prime}(\mathrm{y})+f^{\prime}(\mathrm{x}) f(\mathrm{y})$ for all $\mathrm{x}, \mathrm{y} \in \mathbb{D} .$ Then, then value of $\log _{\mathrm{e}}(f(4))$ is
[JEE(Advanced)-2018]
Ans. 2
$\mathrm{P}(\mathrm{x}, \mathrm{y}): \mathrm{f}(\mathrm{x}+\mathrm{y})=\mathrm{f}(\mathrm{x}) \mathrm{f}^{\prime}(\mathrm{y})+\mathrm{f}^{\prime}(\mathrm{x}) \mathrm{f}(\mathrm{y}) \forall \mathrm{x}, \mathrm{y} \in \mathrm{R}$
$\mathrm{P}(0,0): \mathrm{f}(0)=\mathrm{f}(0) \mathrm{f}^{\prime}(0)+\mathrm{f}^{\prime}(0) \mathrm{f}(0)$
$\Rightarrow 1=2 \mathrm{f}^{\prime}(0)$
$\Rightarrow \mathrm{f}^{\prime}(0)=\frac{1}{2}$
$\mathrm{P}(\mathrm{x}, 0): \mathrm{f}(\mathrm{x})=\mathrm{f}(\mathrm{x}) \cdot \mathrm{f}^{\prime}(0)+\mathrm{f}^{\prime}(\mathrm{x}) \cdot \mathrm{f}(0)$
$\Rightarrow \mathrm{f}(\mathrm{x})=\frac{1}{2} \mathrm{f}(\mathrm{x})+\mathrm{f}^{\prime}(\mathrm{x})$
$\Rightarrow \mathrm{f}^{\prime}(\mathrm{x})=\frac{1}{2} \mathrm{f}(\mathrm{x})$
$\Rightarrow \mathrm{f}(\mathrm{x})=\mathrm{e}^{\frac{1}{2} \mathrm{x}}$
$\Rightarrow \ln (\mathrm{f}(4))=2$
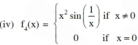
Q. Let $\mathrm{f}_{1}: \square \rightarrow \square, \mathrm{f}_{2}:\left(-\frac{\pi}{2}, \frac{\pi}{2}\right) \rightarrow \square, \mathrm{f}_{3}:\left(-1, \mathrm{e}^{\frac{\pi}{2}}-2\right) \rightarrow \square$ and $\mathrm{f}_{4}: \square \rightarrow \square$ be functions defined by
(i) $\mathrm{f}_{1}(\mathrm{x})=\sin (\sqrt{1-\mathrm{e}^{-\mathrm{x}^{2}}})$
[JEE(Advanced)-2018]
[JEE(Advanced)-2018]
Ans. (D)
(i) $\mathrm{f}(\mathrm{x})=\sin \sqrt{1-\mathrm{e}^{-\mathrm{x}^{2}}}$
$\quad \mathrm{f}_{1}^{\prime}(\mathrm{x})=\cos \sqrt{1-\mathrm{e}^{-\mathrm{x}^{2}}} \cdot \frac{1}{2 \sqrt{1-\mathrm{e}^{-\mathrm{x}^{2}}}}\left(0-\mathrm{e}^{-\mathrm{x}^{2}} \cdot(-2 \mathrm{x})\right)$
$\quad \quad \quad \quad$ at $\mathrm{x}=0 \quad \mathrm{f}_{1}^{\prime}(\mathrm{x})$ does not exist
So. $\mathrm{P} \rightarrow 2$
(ii) $\mathrm{f}_{2}(\mathrm{x})=\left\{\begin{array}{cl}{\frac{|\sin \mathrm{x}|}{\tan ^{-1} \mathrm{x}},} & {\mathrm{x} \neq 0} \\ {0} & {\mathrm{x}=0}\end{array}\right.$
$\lim _{x \rightarrow 0^{+}} \frac{\sin x}{x} \frac{x}{\tan ^{-1} x}=1$
$\Rightarrow \mathrm{f}_{2}(\mathrm{x})$ does not continuous at $\mathrm{x}=0$
So $\mathrm{Q} \rightarrow 1$
(iii) $\mathrm{f}_{3}(\mathrm{x})=[\sin \ell \mathrm{n}(\mathrm{x}+2)]=0$
$\quad 1<\mathrm{x}+2<\mathrm{e}^{\pi / 2}$
$\Rightarrow 0<\ell n(\mathrm{x}+2)<\frac{\pi}{2}$
$\Rightarrow \quad 0<\sin (\ln (\mathrm{x}+2)<1$
$\Rightarrow \quad \mathrm{f}_{3}(\mathrm{x})=0$
So $\mathrm{R} \rightarrow 4$
(iv) $\mathrm{f}_{4}(\mathrm{x})=\left\{\begin{array}{cl}{\mathrm{x}^{2} \sin \frac{1}{\mathrm{x}},} & {\mathrm{x} \neq 0} \\ {0} & {, \mathrm{x}=0}\end{array}\right.$
So $\mathrm{S} \rightarrow 3$




