Start Prep From 0 & Get IIT Bombay with Most Powerful JEE Dropper Course

Electrostatics - JEE Main Previous Year Questions with Solutions

Electrostatics questions in JEE Main are drawn from Coulomb's Law, Gauss's Law, electric field and potential, capacitors, and charge distribution. NTA has consistently asked 2–3 questions per paper from this chapter. Solving previous year questions with solutions is the fastest way to identify high-weightage subtopics and avoid calculation traps.
Electrostatics - JEE Main Previous Year Questions with Solutions

eSaral › JEE Main › Physics › Electrostatics Previous Year Questions with Solutions

best online course for jee

🚀 Checkout eSaral Courses

JEE Main Previous Year Question of Physics with Solutions are available here. Practicing JEE Main Previous Year Papers Questions of Physics will help all the JEE aspirants in realizing the question pattern as well as help in analyzing their weak & strong areas. Get detailed Class 11th &12th Physics Notes to prepare for Boards as well as competitive exams like IIT JEE, NEET etc. eSaral helps the students in clearing and understanding each topic in a better way. eSaral is providing complete chapter-wise notes of Class 11th and 12th both for all subjects. Besides this, eSaral also offers NCERT Solutions, Previous year questions for JEE Main and Advance, Practice questions, Test Series for JEE Main, JEE Advanced and NEET, Important questions of Physics, Chemistry, Math, and Biology and many more. Download eSaral app for free study material and video tutorials. Simulator   Previous Years AIEEE/JEE Mains Questions

Q. A charge Q is placed at each of the opposite corners of a square. A charge q is placed at each of the other two corners. If the net electrical force on Q is zero, then $\frac{\mathrm{Q}}{\mathrm{q}}$ equals :- (1) 1 $(2)-\frac{1}{\sqrt{2}}$ (3) $-2 \sqrt{2}$ (4) –1 [AIEEE - 2009]
Ans. (3)
Q. Statement–1 : For a charged particle moving from point P to point Q the net work done by an electrostatic field on the particle is independent of the path connecting point P to point Q. Statement–2 : The net work done by a conservative force on an object moving along closed loop is zero. (1) Statement–1 is true, Statement–2 is true; Statement–2 is not the correct explanation of Statement–1 (2) Statement–1 is false, Statement–2 is true (3) Statement–1 is true, Statement–2 is false (4) Statement–1 is true, Statement–2 is true; Statement–2 is the correct explanation of Statement– [AIEEE - 2009]
Ans. (4) Electrostatics field is a conservative field work is independent of path.
Q. Two points P and Q are maintained at the potential of 10V and –4V, respectively. The work done in moving 100 electrons from P to Q is :- (1) $-2.24 \times 10^{-16} \mathrm{J}$ (2) $2.24 \times 10^{-16} \mathrm{J}$ (3) $-9.60 \times 10^{-17} \mathrm{J}$ (4) $9.60 \times 10^{-17} \mathrm{J}$ [AIEEE - 2009]
Ans. (2) $\mathrm{q}=-100 \times 1.6 \times 10^{-19} \mathrm{C}$ $\Delta \mathrm{V}=-14 \mathrm{volt}$z $\mathrm{W}=\mathrm{q} \Delta \mathrm{V}=2.24 \times 10^{-16} \mathrm{J}$
Q. $\operatorname{Let} \mathrm{P}(\mathrm{r})=\frac{\mathrm{Q}}{\pi \mathrm{R}^{4}} \mathrm{r}$ be the charge density distribution for a solid sphere of radius R and total charge Q. For a point 'p' inside the sphere at distance $r_{1}$ from the centre of the sphere, the magnitude of electric field is :- (1) $\frac{\mathrm{Qr}_{1}^{2}}{4 \pi \epsilon_{0} \mathrm{R}^{4}}$ (2) $\frac{\mathrm{Qr}_{1}^{2}}{3 \pi \epsilon_{0} \mathrm{R}^{4}}$ (3) 0 (4) $\frac{\mathrm{Q}}{4 \pi \epsilon_{0} \mathrm{r}_{1}^{2}}$ [AIEEE - 2009]
Ans. (1)
Q. A thin semi-circular ring of radius r has a positive charge q distributed uniformly over it. The net field $\overrightarrow{\mathrm{E}}$ at the centre O is :- (1) $\frac{\mathrm{q}}{2 \pi^{2} \varepsilon_{0} \mathrm{r}^{2}} \hat{\mathrm{j}}$ ( 2)$\frac{\mathrm{q}}{4 \pi^{2} \varepsilon_{0} \mathrm{r}^{2}} \hat{\mathrm{j}}$ $(3)-\frac{\mathrm{q}}{4 \pi^{2} \varepsilon_{0} \mathrm{r}^{2}} \hat{\mathrm{j}}$ (4) $-\frac{\mathrm{q}}{2 \pi^{2} \varepsilon_{0} \mathrm{r}^{2}} \hat{\mathrm{j}}$ [AIEEE - 2010]
Ans. (4) $\overrightarrow{\mathrm{E}}=\frac{2 \mathrm{k} \lambda}{\mathrm{r}}(-\hat{\mathrm{j}})=\frac{2}{\left(4 \pi \epsilon_{0} \mathrm{r}\right)} \frac{\mathrm{q}}{(\pi \mathrm{r})}(-\hat{\mathrm{j}})$
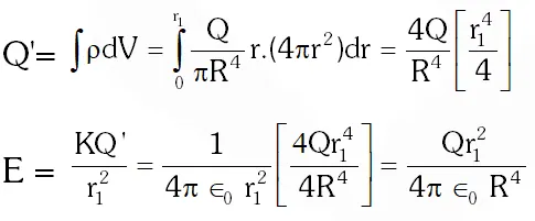
Q. Let there be a spherically symmetric charge distribution with charge density varying as (r) = $\rho_{0}\left(\frac{5}{4}-\frac{\mathrm{r}}{\mathrm{R}}\right)$ upto r = R, and (r) = 0 for r > R, where r is the distance from the origin. The electric field at a distance r (r < R) from the origion is given by : ( 1)$\frac{\rho_{0} \mathrm{r}}{3 \varepsilon_{0}}\left(\frac{5}{4}-\frac{\mathrm{r}}{\mathrm{R}}\right)$ (2) $\frac{4 \pi \rho_{0} \mathrm{r}}{3 \varepsilon_{0}}\left(\frac{5}{3}-\frac{\mathrm{r}}{\mathrm{R}}\right)$ (3) $\frac{\rho_{0} \mathrm{r}}{4 \varepsilon_{0}}\left(\frac{5}{3}-\frac{\mathrm{r}}{\mathrm{R}}\right)$ (4) $\frac{4 \rho_{0} \mathrm{r}}{3 \varepsilon_{0}}\left(\frac{5}{4}-\frac{\mathrm{r}}{\mathrm{R}}\right)$ [AIEEE - 2010]
Ans. (3) Total charge $Q=\int_{0}^{r} \rho d V=\int_{0}^{r} \rho_{0}\left(\frac{5}{4}-\frac{r}{R}\right) 4 \pi r^{2} d r$ $=4 \pi \rho_{0} \int_{0}^{r}\left(\frac{5 r^{2}}{4}-\frac{r^{3}}{R}\right) d r=4 \pi \rho_{0}\left[\frac{5 r^{3}}{12}-\frac{r^{4}}{4 R}\right]$ $\mathrm{E}=\frac{\mathrm{KQ}}{\mathrm{r}^{2}}=\frac{1}{4 \pi \epsilon_{0} \mathrm{r}^{2}} 4 \pi \rho_{0}\left[\frac{5}{12} \mathrm{r}^{3}-\frac{\mathrm{r}^{4}}{4 \mathrm{R}}\right]$ $=\frac{\rho_{0} r}{4 \in_{0}}\left[\frac{5}{3}-\frac{r}{R}\right]$
Q. Two identical charged spheres suspended from a common point by two massless string of length $\ell$are initially a distance d(d << $\ell$) apart because of their mutual repulsion. The charge begins to leak from both the spheres at a constant rate. As a result the charges approach each other with a velocity v. Then as a function of distance x between them :- (1) $\mathrm{v} \propto \mathrm{x}^{1 / 2}$ (2) $\mathrm{v} \propto \mathrm{x}$ (3) $\mathrm{v} \propto \mathrm{x}^{-1 / 2}$ (4) $\mathrm{v} \propto \mathrm{x}^{-1}$ [AIEEE - 2011]
Ans. (3) $\tan \theta=\frac{\mathrm{F}}{\mathrm{M}_{9}} \quad(\text { since } \theta \text { small })$
Q. The electrostatic potential inside a charged spherical ball is given by $\phi=\mathrm{ar}^{2}+\mathrm{b}$where r is the distance from the centre; a, b are constant. Then the charge density inside the ball is :- (1) $-24 \pi \mathrm{a} \in_{0}$ $(2)-6 \mathrm{a} \in_{0}$ (3) $-24 \pi \mathrm{a} \in_{0} \mathrm{r}$ $(4)-6 \mathrm{a} \in_{0} \mathrm{r}$ [AIEEE - 2011]
Ans. (2)
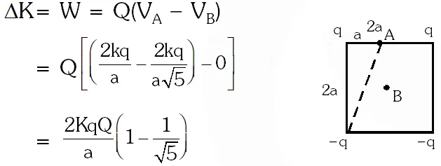
Q. Two positive charges of magnitude 'q' are placed at the ends of a side (side 1) of a square of side '2a'. Two negative charges of the same magnitude are kept at the other corners. Starting from rest, if a charge Q moves from the middle of side 1 to the centre of square, its kinetic energy at the centre of square is :- (1) $\frac{1}{4 \pi \epsilon_{0}} \frac{2 \mathrm{qQ}}{\mathrm{a}}\left(1-\frac{1}{\sqrt{5}}\right)$ (2) zero (3) $\frac{1}{4 \pi \epsilon_{0}} \frac{2 \mathrm{qQ}}{\mathrm{a}}\left(1+\frac{1}{\sqrt{5}}\right)$ (4) $\frac{1}{4 \pi \epsilon_{0}} \frac{2 \mathrm{qQ}}{\mathrm{a}}\left(1-\frac{2}{\sqrt{5}}\right)$ [AIEEE - 2011]
Ans. (1)
Q. This question has Statement-1 and Statement-2. Of the four choices given after the statements, choose the one that best describes the two statements. An insulating solid sphere of radius R has a uniformaly positive charge density . As a result of this uniform charge distribution there is a finite value of electric potential at the centre of the sphere, at the surface of the sphre and also at a point out side the sphere. The electric potential at infinity is zero. Statement-1: When a charge 'q' is taken from the centre to the surface of the sphere, its potential energy changes by $\frac{\mathrm{q} \rho}{3 \epsilon_{0}}$ Statement-2 : The electric field at a distance r (r < R) from the centre of the sphere is $\frac{\rho \mathrm{r}}{3 \epsilon_{0}}$ (1) Statement-1 is true, Statement-2 is true and Statement-2 is the correct explanation of Statement-1. (2) Statement-1 is true, Statement-2 is true and Statement-2 is not the correct explanation of statement-1. (3) Statement-1 is true, Statement-2 is false (4) Statement-1 is false, Statement-2 is true [AIEEE - 2012]
Ans. (4)
Q. In a uniformly charged sphere of total charge Q and radius R, the electric field E is plotted as a function of distance from the centre. The graph which would correspond to the above will be :- [AIEEE - 2012]
Ans. (4) For uniformly charged sphere $\mathrm{E}=\frac{\mathrm{Kqr}}{\mathrm{R}^{3}}(\mathrm{r}<\mathrm{R})$ $\mathrm{E}=\frac{\mathrm{Kq}}{\mathrm{R}^{2}} \quad(\mathrm{r}=\mathrm{R})$ $\mathrm{E}=\frac{\mathrm{Kq}}{\mathrm{r}^{2}} \quad(\mathrm{r}>\mathrm{R})$
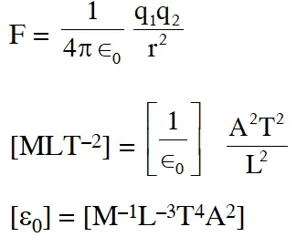
Q. Let $\left[\in_{0}\right]$ denote the dimensional formula of the permittivity of vacuum. If M = mass, L = Length, T = Time and A = electric current, then : (1) $\left[\in_{0}\right]=\left[\mathrm{M}^{-1} \mathrm{L}^{-3} \mathrm{T}^{2} \mathrm{A}\right]$ (2) $\left[\in_{0}\right]=\left[\mathrm{M}^{-1} \mathrm{L}^{-3} \mathrm{T}^{4} \mathrm{A}^{2}\right]$ (3) $\left[\in_{0}\right]=\left[\mathrm{M}^{-1} \mathrm{L}^{2} \mathrm{T}^{-1} \mathrm{A}^{-2}\right]$ (4) $\left[\in_{0}\right]=\left[\mathrm{M}^{-1} \mathrm{L}^{2} \mathrm{T}^{-1} \mathrm{A}\right]$ [AIEEE - 2013]
Ans. (2)
Q. Two charges, each equal to q, are kept at x = –a and x = a on the x-axis. A particle of mass m and charge $\mathrm{q}_{0}=\frac{\mathrm{q}}{2}$ is placed at the origin. If charge $q_{0}$ is given a small displacement (y << a) along the y-axis, the net force acting on the particle is proportional to (1) y           (2) –y          (3) $\frac{1}{y}$ $          (4)-\frac{1}{\mathrm{y}}$ [AIEEE - 2013]
Ans. (1)
Q. A charge Q is uniformly distributed over a long rod AB of length L as shown in the figure. The electric potential at the point O lying at a distance L from the end A is :- (1) $\frac{\mathrm{Q}}{8 \pi \epsilon_{0} \mathrm{L}}$ (2) $\frac{3 \mathrm{Q}}{4 \pi \in_{0} \mathrm{L}}$ (3) $\frac{\mathrm{Q}}{4 \pi \epsilon_{0} \mathrm{L} \ln 2}$ (4) $\frac{\mathrm{Q} \ln 2}{4 \pi \epsilon_{0} \mathrm{L}}$ [JEE-Main-2013]
Ans. (4)
Q. Assume that an electric field $\overrightarrow{\mathrm{E}}=30 \mathrm{x}^{2} \hat{\mathrm{i}}$ exists in space. Then the potential difference $\mathrm{V}_{\mathrm{A}}-\mathrm{V}_{\mathrm{O}}$, where $\mathrm{V}_{\mathrm{O}}$ is the potential at the origin and $\mathrm{V}_{\mathrm{A}}$ the potential at x = 2 m is :- (1)–80 J (2) 80 J (3) 120 J (4) –120 J
Ans. (1) $\mathrm{V}_{\mathrm{A}}-\mathrm{V}_{0}=-10[8-0]=-80 \mathrm{V}$
Q. The region between two concentric spheres of radii 'a' and 'b', respectively (see figure), has volume charge density $\rho=\frac{\mathrm{A}}{\mathrm{r}}$, where A is a constant and r is the distance from the centre. At the centre of the spheres is a point charge Q. The value of A such that the electric field in the region between the spheres will be constant, is :- (1) $\frac{2 Q}{\pi a^{2}}$ (2) $\frac{\mathrm{Q}}{2 \pi \mathrm{a}^{2}}$ (3) $\frac{\mathrm{Q}}{2 \pi\left(\mathrm{b}^{2}-\mathrm{a}^{2}\right)}$ (4) $\frac{2 \mathrm{Q}}{\pi\left(\mathrm{a}^{2}-\mathrm{b}^{2}\right)}$ [JEE-Main-2016]
Ans. (2) Gaussian surface at distance r from center
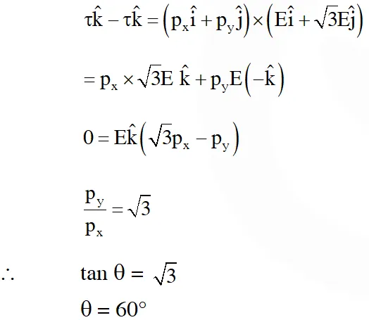
Q. An electric dipole has a fixed dipole moment $\overrightarrow{\mathrm{p}}$, which makes angle  with respect to x-axis. When subjected to an electric field $\overrightarrow{\mathrm{E}}_{1}=\mathrm{E} \hat{\mathrm{i}}$, it experiences a torque $\overrightarrow{\mathrm{T}}_{1}=\tau \hat{\mathrm{k}}$. When subjected to another electric field $\overrightarrow{\mathrm{E}}_{2}=\sqrt{3} \mathrm{E}_{1} \hat{\mathrm{j}}$ it experiences torque . The angle $\theta$ is : (1) $60^{\circ}$ (2) $90^{\circ}$ (3) $30^{\circ}$ (4) $45^{\circ}$ [JEE-Main-2017]
Ans. (1) So from $\quad \vec{\tau}=\overrightarrow{\mathrm{p}} \times \overrightarrow{\mathrm{E}}$
Q. Three concentric metal shells A, B and C of respective radii a, b and c (a < b < c) have surface charge densities $+\sigma,-\sigma$ and $+\sigma$ respectively. The potential of shell B is :- [JEE-Main-2018]
Ans. (1)

Frequently Asked Questions

Find answers to common questions.

Is electrostatics difficult for JEE Main?

Electrostatics is rated medium difficulty by most JEE toppers. The concepts are well-defined, and most questions follow predictable patterns (Gauss's Law, superposition, work-energy). The difficulty lies in vector handling and integration for non-uniform charge distributions. Solving 40–50 previous year questions with careful solution reading brings most students to 80%+ accuracy in this chapter.

What are the most important topics in electrostatics for JEE Main?

The five most important topics are: Gauss's Law and its applications, electric potential and potential energy, force and field due to charge distributions, electric dipole behaviour, and concentric conductor problems. Questions from these five areas have appeared in every year between 2009 and 2024 without exception.

How many questions come from electrostatics in JEE Main each year?

JEE Main typically includes 2–3 questions per session from electrostatics, based on NTA's official question papers from 2013 to 2024. With two sessions per year, you can expect 4–6 electrostatics questions across both attempts. This makes it one of the highest-scoring single chapters in JEE Main Physics.

Can I solve electrostatics JEE Main questions without NCERT?

Attempting JEE Main electrostatics without NCERT as a base is not advisable. NCERT Class 12 Physics Chapters 1 and 2 define the exact conceptual framework NTA tests. Around 30–40% of JEE Main electrostatics questions can be mapped directly to NCERT examples and exercises. Use NCERT Solutions for Class 12 Physics to complete this foundation before moving to advanced problems.

How does eSaral help in clearing electrostatics doubts for JEE Main?

eSaral's 5-layer doubt-solving system — taught by IIT Bombay faculty including AIR-41 rankers — ensures every student gets concept-level, problem-level, and exam-strategy-level support. Students in eSaral's JEE batches have access to topic-wise tests on electrostatics, video solutions for every previous year question, and live doubt sessions. This structured approach consistently produces students who score 12/12 in electrostatics.

What is the dimensional formula of ε₀ for JEE Main?

The dimensional formula of the permittivity of free space (ε₀) is $[M^{-1}L^{-3}T^4A^2]$. This is directly derived from Coulomb's Law: $F = \frac{q_1 q_2}{4\pi\epsilon_0 r^2}$, where F is in Newtons, q in Coulombs, and r in metres. This formula appeared as a direct question in AIEEE 2013 and is worth memorising.

How should I use previous year questions to prepare for JEE Main electrostatics?

First, study the theory from NCERT (Chapters 1 and 2 of Class 12 Physics). Then attempt each previous year question independently, check your solution against the worked answer, and note which step you missed. Group mistakes by type (sign error, wrong Gaussian surface, wrong formula). Revise those specific concept gaps before the next practice session.

Leave a comment

Comments

Shubhangi
May 15, 2026, 9:21 p.m.
Too much beneficial for jee prep thanks for guiding us
Jee aspirant
March 22, 2026, 3:36 p.m.
Can it never be any another way ?
Garimella venkat rao
June 10, 2025, 6:35 a.m.
Farward the practice papers with diffecult leval mains model
Aditya
April 26, 2025, 6:35 a.m.
Very helpful,thank you to esaral team 😊
Aushvanth
Jan. 21, 2025, 6:35 a.m.
Perfect
Aushvanth
Jan. 21, 2025, 6:35 a.m.
Perfect
Rtr
Jan. 21, 2025, 6:35 a.m.
Q
Marshall
Feb. 10, 2024, 6:35 a.m.
Wow, amazing weblog format! How lengthy have you been blogging for? you make running a blog look easy. The whole glance of your site is fantastic, as well as the content! You can see similar: Bestero.shop and here Bestero.shop
Jishan
May 16, 2023, 6:35 a.m.
I want physics all electrostatic questions based on jee preparation
Vk sahu
Dec. 29, 2021, 3:42 p.m.
Please ayse hi hindi me bhi paper provide kar do sir
vishal chauhan
June 14, 2021, 9:39 p.m.
4 marks compulsory honge??🤔🤔🤔🤔
Jaffa roy
May 11, 2021, 1:49 p.m.
Nice
Dayaanand
May 4, 2021, 7:21 a.m.
Thanks
chaotic freak
May 2, 2021, 5:22 p.m.
a little more detailed solution could be helpfull
Your ASS.
May 2, 2021, 1:13 a.m.
I am gonna spam this thing
Ajay
May 2, 2021, 1:12 a.m.
Thanks
King
April 28, 2021, 7:11 a.m.
Thanks a lot !! !! 😃
Ritikraushan
March 18, 2021, 11:19 p.m.
Very good
Tusha
Feb. 10, 2021, 1:18 p.m.
Thank U very much sir 😊
Yesha patel
Jan. 10, 2021, 12:10 a.m.
Thank you so much
MUSKAAN MEHROTRA
Nov. 22, 2020, 3:52 p.m.
APPRECIATION; THANKU SO MUCH, It was really helpful for me. :&gt; REQUEST: Plz.... upload chapter wise segregated questions from 2019 and 2020 jee papers. BEFORE JEE MAINS 2021 JANUARY.
Abhishek Anand
Oct. 21, 2020, 3:09 p.m.
Please upload more questions
GIDIGI VENKATA KISHORE
Oct. 11, 2020, 10:29 a.m.
Wonderful job
Harinireddy
Sept. 7, 2020, 11:14 a.m.
Not bad, so please add more number of jeemain questions
Suraj
Sept. 3, 2020, 12:35 p.m.
Aweson it is very very helpfull .
Chilli boy
Aug. 24, 2020, 7:04 a.m.
Ok
Anam Bushra Granger
Aug. 19, 2020, 12:04 p.m.
The best site for solving questions because it gives time to solve without displaying the answer directly and provide very explaining solution
reena
Aug. 19, 2020, 10:52 a.m.
thanx
Rahul
Aug. 17, 2020, 6:05 p.m.
thank u esaral ,,,,,it was very helpful......hope to get such helps in upcoming days also,,,
Meghana
Aug. 16, 2020, 1:24 p.m.
Thank you 😊 But please add recent PYQs
shruti mishra
Aug. 9, 2020, 10:53 a.m.
Please add some questions ,it is best...
Harshit
Aug. 1, 2020, 9:49 p.m.
Add some more questions on concentric spheres, spherical cell etc.
Vsa student
July 12, 2020, 5:24 p.m.
Thankyou bhut maja aaya but please or questions dal dijiye
Kabilan
July 9, 2020, 5:44 p.m.
Thankyou, it was very helpful
Disha
July 9, 2020, 10:40 a.m.
Thank you Really esaral is the best site ......
Meera
July 4, 2020, 7:50 p.m.
U should give nice explanation and useful questions
Aaaa
June 30, 2020, 12:53 p.m.
Gjici
iit aspirant
June 22, 2020, 12:57 p.m.
thank you but add some more questions of recent years
anand
June 19, 2020, 6:27 p.m.
very nice.....
Sai sharanya
June 13, 2020, 2:24 p.m.
Thank you so much but add some questions on Gauss law
Mayank
June 8, 2020, 1:33 a.m.
Thank u very much and please add some 2019and 2020 questions also
Divyansh Shukla
June 2, 2020, 11:07 a.m.
great work
Aaradhya
May 29, 2020, 1:20 p.m.
Thank you sir This is an easier way for JEE aspirants
Praneetha Reddy
May 29, 2020, 1:13 p.m.
Thank you very much......but please add some more questions
Surabhi pandey
May 28, 2020, 10:03 a.m.
We need more
De-morgan markonikov
May 25, 2020, 8:10 p.m.
Awesome work.E Saral will soon be one of the best online platform for competitive exams
Betul MP
May 25, 2020, 7:30 p.m.
Thanks sir
Chutiaeswar Madarjaat
May 18, 2020, 2:14 p.m.
Having kids
harsha
May 3, 2020, 8:48 p.m.
Thank you so much sir it's so much useful But I think that AIEEE 2010 solution was wrong and the process would be by taking Gaussian surface
Adil Anwar
May 2, 2020, 1:08 p.m.
Thanks sir
Akshay gupta
April 30, 2020, 10:32 a.m.
Thanks for such a great helping
Anjali
April 29, 2020, 2:44 p.m.
sir,please upload 2019 and 2020 questions also.
Rohit
April 26, 2020, 3:15 p.m.
Thanks for providing the questions of previous years.
Karampal
April 26, 2020, 1:32 p.m.
Thank you very much! Wish you succeed in your work and hope that work will be to provide the stuff like this.
Laltu
March 26, 2020, 8:58 a.m.
Very nice
None