Start Prep From 0 & Get IIT Bombay with Most Powerful JEE Dropper Course

Mathematical Reasoning - JEE Main Previous Year Question with Solutions

JEE Main Previous Year Question of Math with Solutions are available at eSaral. Practicing JEE Main Previous Year Papers Questions of mathematics will help the JEE aspirants in realizing the question pattern as well as help in analyzing weak & strong areas. eSaral helps the students in clearing and understanding each topic in a better way. eSaral is providing complete chapter-wise notes of Class 11th and 12th both for all subjects. Besides this, eSaral also offers NCERT Solutions, Previous year questions for JEE Main and Advance, Practice questions, Test Series for JEE Main, JEE Advanced and NEET, Important questions of Physics, Chemistry, Math, and Biology and many more. Download eSaral app for free study material and video tutorials.
Q. Statement-1: $\sim(p \leftrightarrow \sim q)$ is equivalent to $p \leftrightarrow q$ Statement-2 $: \sim(p \leftrightarrow \sim q)$ is a tautology. (1) Statement–1 is true, Statement–2 is false. (2) Statement–1 is false, Statement–2 is true. (3) Statement–1 is true, Statement–2 is true ; Statement–2 is a correct explanation for Statement–1. (4) Statement–1 is true, Statement–2 is true ; Statement–2 is not a correct explanation for statement–1. [AIEEE-2009]
Ans. (1)
Q. Let $S$ be a non-empty subset of $R$. Consider the following statement: $p:$ There is a rational number $x \in S$ such that $x>0$ which of the following statements is the negation of the statement p? (1) There is a rational number $x \in$ S such that $x \leq 0$ (2) There is no rational number $x \in S$ such that $x \leq 0$ (3) Every rational number $x \in S$ satisfies $x \leq 0$ (4) $x \in S$ and $x \leq 0 \Rightarrow x$ is not rational. [AIEEE-2010]
Ans. (3) Given $\mathrm{S} \subseteq \mathrm{R}$ and $\mathrm{p}=$ There is a rational number $\mathrm{x} \in \mathrm{S}$ such that $\mathrm{x}>0$ then $\sim \mathrm{p}:$ Any rational number $\mathrm{x} \in \mathrm{S}$ such that $\mathrm{x}$ $\not>$ 0 i.e. $\sim \mathrm{p}:$ Every rational number $\mathrm{x} \in \mathrm{S}$ satisfy $\mathrm{x} \leq 0$
Q. Consider the following statements p : Suman is brilliant q : Suman is rich r : Suman is honest The negation of the statement "Suman is brilliant and dishonest if and only if Suman is rich" can be expressed as :- ( 1)$\sim \mathrm{q} \leftrightarrow \sim \mathrm{p} \wedge \mathrm{r}$ ( 2)$\sim(\mathrm{p} \wedge \sim \mathrm{r}) \leftrightarrow \mathrm{q}$ ( 3)$\sim \mathrm{p} \wedge(\mathrm{q} \leftrightarrow \sim \mathrm{r})$ ( 4)$\sim(\mathrm{q} \leftrightarrow(\mathrm{p} \wedge \sim \mathrm{r}))$ [AIEEE-2011]
Ans. (2,4) Given Statement : $(\mathrm{p} \wedge \sim \mathrm{r}) \Leftrightarrow \mathrm{q}$ Negations of $\mathrm{p} \Leftrightarrow \mathrm{q}$ are $\sim(\mathrm{p} \Leftrightarrow \mathrm{q}), \sim(\mathrm{q} \Leftrightarrow \mathrm{p})$ $\sim \mathrm{p} \Leftrightarrow \mathrm{q}$ and $\sim \mathrm{q} \Leftrightarrow \mathrm{p}$ Hence negations of given statement are $\sim(\mathrm{q} \Leftrightarrow(\mathrm{p} \wedge \sim \mathrm{r}))$ and $\sim(\mathrm{p} \wedge \sim \mathrm{r}) \Leftrightarrow \mathrm{q}$
Q. The only statement among the followings that is a tautology is : ( 1) $\mathrm{q} \rightarrow[\mathrm{p} \wedge(\mathrm{p} \rightarrow \mathrm{q})]$ (2) $\mathrm{p} \wedge(\mathrm{p} \vee \mathrm{q})$ (3) $\mathrm{p} \vee(\mathrm{p} \wedge \mathrm{q})$ (4) $[\mathrm{p} \wedge(\mathrm{p} \rightarrow \mathrm{q})] \rightarrow \mathrm{q}$ [AIEEE-2011]
Ans. (4) $[\mathrm{p} \wedge(\mathrm{p} \rightarrow \mathrm{q})] \rightarrow \mathrm{q}$ $[\mathrm{p} \wedge(\sim \mathrm{p} \vee \mathrm{q})] \rightarrow \mathrm{q}$ $[(\mathrm{p} \wedge \sim \mathrm{p}) \vee(\mathrm{p} \wedge \mathrm{q})] \rightarrow \mathrm{q}$ $[\mathrm{c} \vee(\mathrm{p} \wedge \mathrm{q})] \rightarrow \mathrm{q}$ $\left\{\begin{array}{c}{\mathrm{p} \wedge \sim \mathrm{p} \equiv \mathrm{c} \equiv \mathrm{contradiction}} \\ {\because \mathrm{c} \vee \mathrm{p} \equiv \mathrm{p}}\end{array}\right.$ $\Rightarrow(\mathrm{p} \wedge \mathrm{q}) \rightarrow \mathrm{q}$ $\Rightarrow \sim(\mathrm{p} \wedge \mathrm{q}) \vee \mathrm{q}$ $\Rightarrow(\sim \mathrm{p} \vee \sim \mathrm{q}) \vee \mathrm{q}$ $\Rightarrow \sim \mathrm{p} \vee(\mathrm{q} \vee \sim \mathrm{q})$ $\Rightarrow \sim \mathrm{p} \vee(\mathrm{t}) \equiv$ tautology
Q. The negation of the statement "If I become a teacher, then I will open a school", is : (1) I will not become a teacher or I will open a school. (2) I will become a teacher and I will not open a school. (3) Either I will not become a teacher or I will not open a school. (4) Neither I will become a teacher nor I will open a school. [AIEEE-2012]
Ans. (2)
Q. Consider : Statement-I: $(\mathrm{p} \wedge \sim \mathrm{q}) \wedge(\sim \mathrm{p} \wedge \mathrm{q})$ is a fallacy. Statement-II : $(\mathrm{p} \rightarrow \mathrm{q}) \leftrightarrow(\sim \mathrm{q} \rightarrow \sim \mathrm{p})$ is a tuatology (1) Statement-I is true, Statement-II is true; statement-II is a correct explanation for Statement-I. (2) Statement-I is true, Statement-II is true; statement-II is not a correct explanation for Statement-I. (3) Statement-I is true, Statement-II is false. (4) Statement-I is false, Statement-II is true. [JEE-MAINS-2013]
Ans. (2) Given statement is $\sim(\mathrm{p} \leftrightarrow \sim \mathrm{q})$ As we know $\sim(\mathrm{p} \leftrightarrow \mathrm{q}) \equiv \sim \mathrm{p} \leftrightarrow \mathrm{q}$ or $\mathrm{p} \leftrightarrow \sim \mathrm{q}$ $\therefore \sim(\mathrm{p} \leftrightarrow \sim \mathrm{q}) \equiv \mathrm{p} \leftrightarrow \mathrm{q}$
Q. The statement $\sim(p \leftrightarrow \sim q)$ is : (1) equivalent to $p \leftrightarrow q$ (2) equivalent to $\sim p \leftrightarrow q$ (3) a tautology (4) a fallacy [JEE(Main)-2014]
Ans. (1) Given statement is $\sim(\mathrm{p} \leftrightarrow \sim \mathrm{q})$ As we know $\sim(\mathrm{p} \leftrightarrow \mathrm{q}) \equiv \sim \mathrm{p} \leftrightarrow \mathrm{q}$ or $\mathrm{p} \leftrightarrow \sim \mathrm{q}$ $\therefore \sim(\mathrm{p} \leftrightarrow \sim \mathrm{q}) \equiv \mathrm{p} \leftrightarrow \mathrm{q}$
Q. The negation of $\sim \mathrm{s} \vee(\sim \mathrm{r} \wedge \mathrm{s})$ is equivalent to : ( 1) $\mathrm{s} \vee(\mathrm{r} \vee \sim \mathrm{s})$ (2) $\mathrm{s} \wedge \mathrm{r}$ (3) $\mathrm{s} \wedge \sim \mathrm{r}$ ( 4) $\mathrm{s} \wedge(\mathrm{r} \wedge \sim \mathrm{s})$ [JEE(Main)-2015]
Ans. (2) $\square \mathrm{s} \vee(\square \mathrm{r} \wedge \mathrm{s})$ $(\square \mathrm{s} \vee \sim \mathrm{r}) \wedge(\square \mathrm{s} \wedge \mathrm{s})$ $(\square \mathrm{s} \vee \sim \mathrm{r}) \wedge \mathrm{t}$ $(\square \mathrm{s} \vee \sim \mathrm{r})$ $\sim(\square \mathrm{s} \vee \sim \mathrm{r})$ $\mathrm{s} \wedge \mathrm{r}$
Q. The Boolean Expression (p\wedge\simq) Vq\vee(\simp\wedgeq) is equivalent to :- (1) $\mathrm{pv} \sim \mathrm{q}$ (2) $\sim \mathrm{p} \wedge \mathrm{q}$ (3) $\mathrm{p} \wedge \mathrm{q}$ (4) $\mathrm{p} \vee \mathrm{q}$ [JEE(Main)-2016]
Ans. (4) Given boolean expression is $(\mathrm{p} \wedge \sim \mathrm{q}) \vee \mathrm{q} \vee(\sim \mathrm{p} \wedge \mathrm{q})$ $(\mathrm{p} \wedge \sim \mathrm{q}) \mathrm{Vq}=(\mathrm{p} \vee \mathrm{q}) \wedge(\sim \mathrm{q} \vee \mathrm{q})=(\mathrm{p} \vee \mathrm{q}) \wedge \mathrm{t}=(\mathrm{p} \vee \mathrm{q})$ Now, $(\mathrm{pVq}) \vee(\sim \mathrm{p} \wedge \mathrm{q})=\mathrm{p} \vee \mathrm{q}$
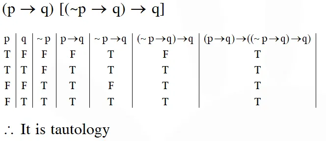
Q. The following statement $(\mathrm{p} \rightarrow \mathrm{q}) \rightarrow[(\sim \mathrm{p} \rightarrow \mathrm{q}) \rightarrow \mathrm{q}]$ is : (1) a fallacy (2) a tautology (3) equivalent to $\sim \mathrm{p} \rightarrow \mathrm{q}$ (4) equivalent to $\mathrm{p} \rightarrow \sim \mathrm{q}$ [JEE(Main)-2017]
Ans. (2)
Q. The Boolean expression $\sim(p \vee q) \vee(\sim p \wedge q)$ is equivalent to : (1) p (2) q (3) $\sim \mathrm{q}$ ( 4)$\sim \mathrm{p}$ [JEE(Main)-2018]
Ans. (4) $\sim(p \vee q) \vee(\sim p \wedge q)$ $(\sim p \wedge \sim q) \vee(\sim p \wedge q)$ $\Rightarrow \sim p \wedge(\sim q \vee q)$ $\Rightarrow \sim p \wedge t \equiv \sim p$

Leave a comment

Comments

Hannan hashan
Dec. 4, 2022, 8:09 a.m.
I hope that it is useful
Alan walker
July 8, 2022, 3:53 p.m.
Please add questions after 2018
ALAN WALKER HATER
May 31, 2023, 6:35 a.m.
KYS (keep yourself safe)
Jatin
July 9, 2021, 10:58 p.m.
Thank you for these questions, really helped a lot.
D Rugved
March 14, 2021, 10:31 p.m.
The Level of Questions Are moderate
Jhonny dept
Feb. 23, 2021, 12:21 p.m.
I want Jee important question
David
Dec. 31, 2020, 11:43 a.m.
Pls add 2019and 2020 question also of this chapter
Sweta
Dec. 17, 2020, 11:26 a.m.
Really enjoyed the questions
Vivek
Dec. 6, 2020, 9 p.m.
Do add new question.
Utkarsh
Oct. 29, 2020, 10:52 p.m.
Quite helpful
Bibhu
Oct. 21, 2020, 9:55 a.m.
Thanks
K
Sept. 24, 2020, 3:49 p.m.
Tq
Sk
Sept. 3, 2020, 4:41 p.m.
సూపర్
vijendra.jogi@gmail.com
May 31, 2023, 6:35 a.m.
Among us language
Dks
Sept. 2, 2020, 11:11 p.m.
🙏
Sudheer
Aug. 30, 2020, 3:37 p.m.
It is very helpful to us thank you so much
priyanka
Aug. 28, 2020, 12:26 p.m.
it is very helpful to us
Srigowthami
Aug. 27, 2020, 8:12 p.m.
Thank you so much..these helped me alot .... I have confusion in this chapter..after doing these bits ..I got clarity......Once again tq
alok gothwal
Aug. 24, 2020, 12:16 a.m.
nice
Cherry
Aug. 23, 2020, 3 p.m.
🤩🤩👍👍
Prathaam
Aug. 22, 2020, 5:23 p.m.
Thank you
vijendra.jogi@gmail.com
May 31, 2023, 6:35 a.m.
PRATT HAM 2D mofo
Alankrit
Aug. 19, 2020, 9:54 p.m.
Saare ho gye farji tha
Dinesh dk
Aug. 19, 2020, 2:25 p.m.
Nice
Pooja
Aug. 3, 2020, 1:04 p.m.
Good
Pari
July 27, 2020, 7:27 p.m.
Superb intresting
Gauri Karkhile
July 4, 2020, 11:27 a.m.
thank you
herrrroooooooooooooooooooooooooooooooooooooo
June 20, 2020, 12:08 p.m.
hahahahahahhahhahahaah
vijendra.jogi@gmail.com
May 31, 2023, 10:11 a.m.
😂😂😂😂😂😂😂😂😂😂😂😂😂😂😂😂😂😂😂😂😂😂😂😂😂😂😂😂😂😂😂😂😂😂😂😂😂😂😂😂😂😂😂😂😂😂😂😂😂😂😂😂😂😂😂😂😂😂😂😂😂😂😂😂😂😂😂😂😂😂😂😂😂😂😂😂😂😂😂😂😂😂😂😂😂😂😂😂😂😂😂😂😂😂😂😂😂😂😂😂😂😂😂😂😂😂😂😂
Sejal
May 31, 2020, 9:18 p.m.
In question no 3 (from upward) ,their are two solutions. In them only solution no 4 is right according to my answer their is negation of all statement. In option 2, their is negation of q is not taken.
Sruji
May 30, 2020, 3:55 p.m.
Edicharu.. mi bonda . Em helpful
Tbnjj
May 26, 2020, 12:54 p.m.
Very
Akhill
May 21, 2020, 1:06 p.m.
Chill bro
Md intihaj
May 16, 2020, 9:21 a.m.
Excellent
Krutivas
May 12, 2020, 4:31 p.m.
nice questions
anurag
April 9, 2020, 3:03 p.m.
Very good problem
Nandu
April 9, 2020, 1:18 p.m.
Really helpful
Niharika
April 6, 2020, 12:09 p.m.
Awesome
Dileep
April 2, 2020, 2:35 p.m.
Nice
Isha priyadarshani biswal
March 27, 2020, 11:23 p.m.
It was very helpful