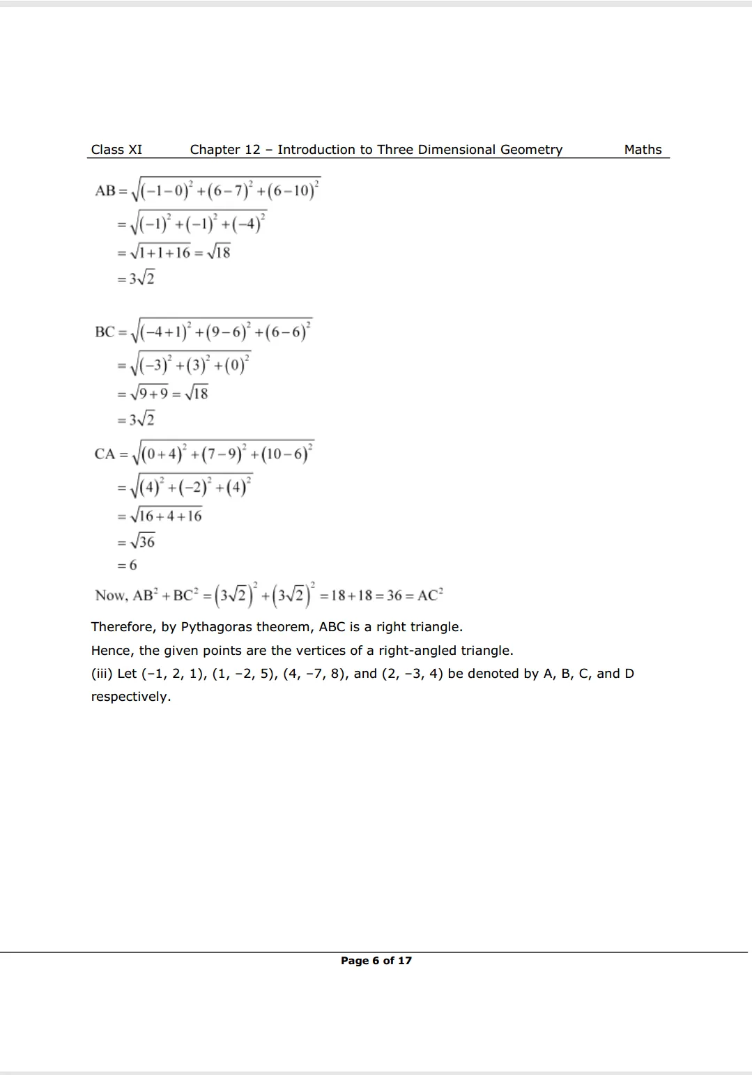
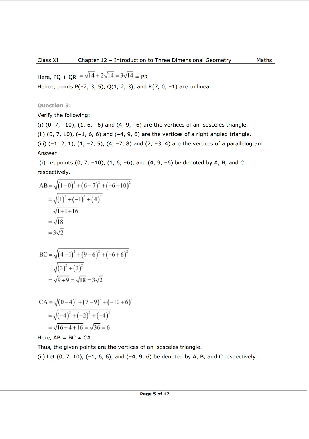
NCERT Solutions for Class 11 Maths chapter 12 - Introduction to Three Dimensional Geometry
Hey, are you a class 11 student and looking for ways to download NCERT Solutions for Class 11 Maths chapter 12 "Introduction to Three Dimensional Geometry"? If yes. Then read this post till the end.
In this article, we have listed NCERT solution for class 11 Maths Chapter 12 in PDF that is prepared by Kota’s top IITian’s Faculties by keeping Simplicity in mind.
If you want to learn and understand class 11 Maths chapter 12 "Introduction to Three Dimensional Geometry" in an easy way then you can use these solutions PDF.
NCERT Solutions helps students to Practice important concepts of subjects easily. Class 11 Maths solutions provide detailed explanations of all the NCERT exercise questions that students can use to clear their doubts instantly.
If you want to score high in your class 11 Maths Exam then it is very important for you to have a good knowledge of all the important topics, so to learn and practice those topics you can use eSaral NCERT Solutions.
In this article, we have listed NCERT Solution for Class 11 Maths chapter 12 that you can download to start your preparations anytime.
So, without wasting more time Let’s start.
So, that’s all from this article. I hope you enjoyed this post. If you found this article helpful then please share it with other students.
Also Read,
Download Class 11 Maths all Chapters Short Notes Free PDF.
Download Class 11 Maths Book Chapterwise Free PDF
Download Class 11 Maths Exemplar Chapterwise Free PDF
If you have any Confusion related to NCERT Solutions for Class 11 Math chapter 12 then feel free to ask in the comments section down below.
To watch Free Learning Videos on Class 11 by Kota’s top Faculties Install the eSaral App
In this article, we have listed NCERT solution for class 11 Maths Chapter 12 in PDF that is prepared by Kota’s top IITian’s Faculties by keeping Simplicity in mind.
If you want to learn and understand class 11 Maths chapter 12 "Introduction to Three Dimensional Geometry" in an easy way then you can use these solutions PDF.
NCERT Solutions helps students to Practice important concepts of subjects easily. Class 11 Maths solutions provide detailed explanations of all the NCERT exercise questions that students can use to clear their doubts instantly.
If you want to score high in your class 11 Maths Exam then it is very important for you to have a good knowledge of all the important topics, so to learn and practice those topics you can use eSaral NCERT Solutions.
In this article, we have listed NCERT Solution for Class 11 Maths chapter 12 that you can download to start your preparations anytime.
So, without wasting more time Let’s start.
Download The PDF of NCERT Solutions for Class 11 Maths Chapter 12 "Introduction to Three Dimensional Geometry"
So, that’s all from this article. I hope you enjoyed this post. If you found this article helpful then please share it with other students.
Also Read,
Download Class 11 Maths all Chapters Short Notes Free PDF.
Download Class 11 Maths Book Chapterwise Free PDF
Download Class 11 Maths Exemplar Chapterwise Free PDF
If you have any Confusion related to NCERT Solutions for Class 11 Math chapter 12 then feel free to ask in the comments section down below.
To watch Free Learning Videos on Class 11 by Kota’s top Faculties Install the eSaral App